doi:10.5477/cis/reis.194.63-84
Desigualdades de clase en la emancipación juvenil española: cambios entre generaciones
y nuevas tendencias
Class Inequalities in Youth Emancipation in Spain:
Changes across Generations and New Trends
David Gil-Solsona y Manuel Mejías-Leiva
|
Palabras clave Análisis del curso de vida
|
Resumen El presente artículo analiza cómo han cambiado las diferencias de clase en el proceso de emancipación juvenil en España durante los últimos cincuenta años. Se usan datos del Estudio CIS 3233, que recopila las experiencias de transición a la vida adulta de diferentes generaciones españolas y modelos de supervivencia. Los resultados muestran cómo, mientras a mediados del siglo xx, la juventud de clase baja se emancipaba sensiblemente antes que la de clase alta, esta diferencia ha desaparecido actualmente. Es más, uno de los dos indicadores utilizados señala que la tendencia actual es la contraria: la juventud de clase alta se va antes de casa. Entre las causas de este cambio se señalan los cambios en los modelos de emancipación o el peso cada vez mayor del acceso a la vivienda en este proceso vital. |
|
Key words Life Course Analysis
|
Abstract This paper analyses the changes taking place in class differences in the youth emancipation process in Spain over the past 50 years. It relies on data from Study 3233 of the Spanish Center for Sociological Research (CIS), which compiles the experiences of transition to adulthood of different Spanish generations, and survival models. Results suggest that, while in the mid-20th century, lower-class youngsters left home significantly earlier than their upper-class counterparts, today, this difference does not exist. Furthermore, one of the two indexes used indicates that the current trend is the opposite: young people from upper-class origins tend to leave home earlier. Among the causes of this change are new emancipation models, or the increasing importance of access to housing in this life course process. |
Cómo citar
Gil-Solsona, David; Mejías-Leiva, Manuel (2026). «Desigualdades de clase en la emancipación juvenil española: cambios entre generaciones y nuevas tendencias». Revista Española de Investigaciones Sociológicas, 194: 63-84. (doi: 10.5477/cis/reis.194.63-84)
La versión en inglés de este artículo puede consultarse en http://reis.cis.es
David Gil-Solsona: Universitat Jaume I de Castelló | dgil@uji.es
Manuel Mejías-Leiva: Universidad de Valladolid | manuel.mejias@uva.es
La emancipación ha estado siempre en el foco de la sociología de la juventud española, ya sea la académica (Zárraga, 1985; Garrido y Requena, 1996; Gil, 2002; Jurado, 2003; Moreno, 2012) o la institucional o asociativa (Consejo de la Juventud de España, 2024; Simón y Clavería, 2020). Esto se debe a que, desde los años ochenta y noventa (Casal, 1996; Zárraga, 1985; Garrido y Requena, 1996), las tasas de emancipación se han mantenido persistentemente bajas, sin recuperar los niveles de mediados del siglo xx (Zárraga, 1985; Miret, 2005). Aunque la situación mejoró entre 1996 y 2008, incluso entonces la precariedad juvenil (Gentile, 2006; Gil, 2002), el sobreendeudamiento hipotecario (López, 2008) o el empleo juvenil (Miguélez y Recio, 2010; Simó, Golsch y Steinhage, 2002) preocupaban a la academia, especialmente al comparar España con países de su entorno (Baizan, 2003; Moreno, 2012).
La crisis de 2008 dificultó la emancipación juvenil, que sigue empeorando pese a la recuperación económica (Eurostat, 2023; Consejo de la Juventud de España, 2024), debido fundamentalmente al incremento de los alquileres desde 2014 (Consejo de la Juventud de España, 2024; Ministerio de Fomento, 2019; Moreno y Sánchez, 2020; Simón y Clavería, 2020). En este escenario, el énfasis en el 83 % de jóvenes no emancipados (Consejo de la Juventud de España, 2024) hace que a menudo se pierda de vista al 17 % restante, que sí logra independizarse, y, sobre todo, a las diferencias entre ambos grupos. Factores como el sexo, la procedencia o el nivel educativo explican en parte esta diversidad en la emancipación (Aassve et al., 2002; Garrido y Requena, 1996), aunque el factor en el que va a centrar la atención del presente estudio es la posición socioeconómica de los progenitores y las propias personas jóvenes.
Este es, tal vez, el factor con una influencia más compleja: por una parte, conseguir una mejor posición socioeconómica suele implicar un retraso en la emancipación, pero también facilita el proceso una vez conseguida (Aassve et al., 2002; Goldscheider y Da Vanzo, 1989; Iacovou, 2010). También la clase social de origen tiene efectos contradictorios, que cambian según el contexto: las familias con más recursos pueden usarlos para impulsar la emancipación de sus descendientes o para «retenerlos» en casa (Iacovou, 2010). En España, según la literatura, la estrategia dominante entre las clases altas sería promover una emancipación más tardía de los descendientes, a fin de que completen con éxito su posicionamiento social (Garrido y Requena, 1996; Gil, 2002; Iacovou, 2010).
Este trabajo tiene como objetivo analizar si las diferencias de clase en la emancipación juvenil en España siguen funcionando así o si el gradiente de clase ha cambiado y se ha vuelto similar al de otros países. En un contexto donde el acceso a la vivienda, más que las trayectorias formativo-laborales, parece ser el factor clave para la emancipación y donde se ha flexibilizado el modelo tradicional de formación de hogares (Fuster, Palomares-Linares y Susino, 2023; Gil-Solsona, 2023; Moreno y Sánchez, 2020; Simó, Moreno y Gil-Solsona, 2023), cabe plantear que una mejor posición socioeconómica familiar podría facilitar este proceso. Para ello, se utilizan datos de la Encuesta CIS 3233, de diciembre de 2018, que compara retrospectivamente las trayectorias juveniles de diferentes generaciones y evalúa cómo cambian en función de la posición socioeconómica de progenitores y jóvenes.
La emancipación juvenil en España
Casal (1996) y Zárraga (1985) definen la juventud como un proceso de transición social en el que las personas adquieren independencia residencial y económica respecto al hogar de origen (emancipación), mientras consolidan una posición en las estructuras socioeconómicas, productivas y reproductivas (enclasamiento). Estos procesos están moldeados por la posición en la estructura social (de clase, etnia o género) (Casal, 1996; Furlong y Cartmel, 2007), el contexto nacional e internacional (Aassve et al., 2002) o la propia agencia de los sujetos (Casal et al., 2006).
A finales del siglo xx, los procesos de transición juvenil pasaron de ser tempranos y lineales a dilatados y menos predecibles, con trayectorias individualizadas (Beck y Beck-Gernsheim, 2002; Billari y Liefbroer, 2010; Machado, 2000). Este cambio ha sido atribuido tanto a la modernidad tardía como a factores como la globalización económica (Mills y Blossfeld, 2005). Sin embargo, estos procesos globales son filtrados por factores institucionales, hecho que genera grandes diferencias entre países. En Europa, por ejemplo, la emancipación es significativamente más tardía en el sur que en el norte debido a factores económicos, institucionales y culturales (Eurostat, 2023; Moreno, 2012). En España, estas transiciones están condicionadas por un mercado laboral incapaz de ofrecer estabilidad, un mercado inmobiliario poco accesible y la ausencia de buenas políticas de emancipación (Jurado, 2003; Moreno, 2012; Simó, Golsch, y Steinhage, 2002). A ello se suma la debilidad del estado de bienestar (Baizan, 2003; Flaquer, 2004; Gentile, 2006) y la cultura «familista» española, que fomenta fuertes redes de apoyo y reciprocidad familiar (Flaquer, 2004; Gentile, 2006), pero también favorece que los jóvenes permanezcan en casa todo el tiempo necesario hasta que se mudan con su pareja a una vivienda en propiedad (Gaviria, 2007; Velde, 2008). Este «modelo español de emancipación» ha generado una edad media a la emancipación de 30,5 años, una de las más tardías de Europa (Eurostat, 2023).
El modelo, además de retrasar la emancipación, hace que esta se efectúe mediante el llamado «modelo de espera» (Flaquer, 2004; Gil, 2002): una acumulación prolongada de recursos mientras se vive con los progenitores, seguida de una separación residencial definitiva, para irse a vivir en pareja (Flaquer, 2004; Gaviria, 2007; Holdsworth, 2000; Jurado, 2003). Este modelo de emancipación contrasta con el de otros países, más flexible y con un mayor peso de «estados intermedios» (Jones, 2000), como vivir solo o compartiendo piso (Holdsworth, 2000; Iacovou, 2010; Velde, 2008).
Ahora bien, recientemente, el modelo español ha mostrado ciertos cambios: cada vez más jóvenes viven de alquiler, en lugar de comprar una vivienda (Echaves, 2017; Fuster, Arundel y Susino, 2019; Fuster, Palomares-Linares, y Susino, 2023) y la forma de emanciparse se ha diversificado, más allá de la vida en pareja (Gil-Solsona, 2024; Marí-Klose, Julià y Marí-Klose, 2013).
La evolución del modelo español de emancipación resulta clave para entender qué papel juega en ella la «clase social», entendida como posición socioeconómica y ubicación en las estructuras laborales (Bernardi, 2007). Precisamente las personas jóvenes, inmersas en un proceso de posicionamiento social, carecen al inicio de una posición propia en las relaciones sociales de producción (Casal, 1996; Zárraga, 1985), aunque sí que tienen una clase social de origen (Zárraga, 1985), la de sus progenitores. Mediante el proceso de enclasamiento personal, íntimamente ligado e interrelacionado con la emancipación, adquieren finalmente una posición de clase propia. Gil (2002) y Bernardi (2007) señalan cómo, en este proceso, se interrelacionan de forma compleja las agencias de padres e hijos: los jóvenes, mediante sus estrategias, buscan emanciparse y construir su propia posición social, mientras que los progenitores promueven la reproducción social de la posición familiar; buscan para sus descendientes un estatus igual o superior al suyo. Estas estrategias pueden generar un retraso de la emancipación para asegurar una buena posición (Goldscheider y Da Vanzo, 1989) o, al contrario, desencadenar una emancipación temprana incluso a riesgo de comprometer dicho posicionamiento social (Ayllón, 2015).
En primer lugar, el propio proceso de enclasamiento influye en la emancipación: una trayectoria formativa más larga normalmente retrasa la emancipación, al posponer la independencia económica (Aassve et al., 2002; Garrido y Requena, 1996; Goldscheider y Da Vanzo, 1989). Sin embargo, una vez completada la formación, el mayor nivel de recursos que proporciona suele facilitar la independencia (Aassve et al., 2002; Iacovou, 2010). Además, cursar estudios superiores en otra ciudad puede impulsar la emancipación (Jurado, 2003). En otros países, las políticas públicas facilitan la independencia económica del estudiantado (Anxo, 2010), aunque el sistema de becas español no llega a producir este efecto (Flaquer, 2004; Gentile, 2006). Además, la dispersión territorial de las universidades desincentiva que los universitarios vivan fuera de casa (Moreno, 2018).
Por su parte, la clase social de los progenitores influye en las trayectorias de emancipación de la juventud de forma más compleja. Algunos estudios señalan que mayores recursos familiares impulsan la emancipación (Aassve et al., 2002; Goldscheider y Da Vanzo, 1989; Iacovou, 2010). Esto no se debería solamente a mayores transferencias de recursos, sino también a la mayor presencia de jóvenes de clases acomodadas en trayectorias de emancipación no estándar (pisos compartidos, residencias de estudiantes, etc.) (Calvert, 2010; Iacovou, 2010), que implican una emancipación más temprana que la cohabitación en pareja y que pueden ser sostenidas de forma total o parcial por los progenitores con mayores recursos (Goldscheider y Da Vanzo, 1989; Velde, 2008). Por el contrario, los estudiantes de clase trabajadora buscarían soluciones más económicas (como vivir con sus progenitores y estudiar en sus universidades locales) y se irían de casa más frecuentemente para formar una pareja (Arundel y Ronald, 2016; Calvert, 2010; Furlong y Cartmel, 2007).
Ahora bien, el principal mecanismo que explicaría las diferencias de clase en la emancipación sería la propia transmisión intergeneracional de rentas y patrimonio (Echaves, 2017; Lennartz, Arundel y Ronald, 2016; Tucci, 2024). Así, los progenitores con mayor renta y patrimonio tienen más capacidad para ayudar a la emancipación de sus descendientes, mecanismo que se habría intensificado desde la crisis de 2008 (Tucci, 2024). Además, hay que considerar también otras formas de capital (Bourdieu, 1986): por ejemplo, el capital social parental, en forma de redes de contactos (Laurison y Friedman, 2024), puede ayudar a los jóvenes, especialmente profesionales, no ya a encontrar un empleo, sino a encontrar uno de mayor nivel, más estabilidad y mejores ingresos, lo que facilita la emancipación.
Aun así, otros estudios encuentran un efecto negativo de la clase social parental sobre la emancipación juvenil, sobre todo en relación con recursos «no transferibles», como mejores condiciones de espacio y servicios en el hogar, que retienen a los jóvenes de clase alta mientras «empujan» a los más pobres a independizarse (Becker et al., 2010). Iacovou (2010) señala a las diferentes preferencias culturales para explicar esta diversidad. Según su análisis, en el norte de Europa, los progenitores usan sus recursos para fomentar la independencia de su descendencia al valorar positivamente su emancipación, mientras que, en el sur, priorizan la convivencia familiar (togetherness) y los emplean para retener a hijos e hijas (Gaviria, 2007; Iacovou, 2010; Velde, 2008). Más recientemente, Ferraretto y Vitali (2024) han encontrado evidencia comparativa que respalda esta dinámica.
En España, estudios como los de Bernardi (2007) y Casal (1996) muestran que los progenitores acomodados retrasan la emancipación de sus hijos al fomentar su inversión en lograr una buena posición social. Esto es: la voluntad no sería la de retener a los jóvenes, sino procurar que se vayan «en condiciones» (Iacovou, 2010). Un aspecto clave que tener en cuenta es la estrecha vinculación entre emancipación y formación de pareja, vigente hasta épocas muy recientes en España (Gaviria, 2007; Gil, 2002; Jurado, 2003). En este sentido, diferentes estudios muestran cómo los padres más acomodados en todos los países desincentivan que sus descendientes se muden en pareja demasiado pronto, para centrarse en su posicionamiento social (Jong, Liefbroer, y Beekink, 1991; Iacovou, 2010). Bajo esta lógica, tiene sentido que, en España, los jóvenes de clase alta acostumbraran a emanciparse (esto es, formar una pareja) más tarde.
Sin embargo, dada la creciente diversidad en las formas de emancipación en España (Echaves, 2017; Gil-Solsona, 2024; Marí-Klose, Julià y Marí-Klose, 2013), este mecanismo tradicional de estratificación debería haber perdido peso. Si las formas no familiares de emancipación, comunes entre las clases altas (Goldscheider y Da Vanzo, 1989), son cada vez más frecuentes en España, esto debería producir una asociación positiva entre emancipación y clase social. Por otro lado, el incremento de los precios de la vivienda, primero en propiedad (Pareja y San Martín, 2002) y posteriormente en alquiler (Ministerio de Fomento, 2019), ha hecho que el acceso a la vivienda se convierta en el factor determinante en la emancipación (Baizan, 2003; Gentile, 2006; Jurado, 2003). En este contexto, contar con suficientes recursos tanto personales como familiares para acceder a la vivienda (Boertien y López-Gay, 2023; Cabre y Módenes, 2004) se habría convertido en el elemento decisivo para emanciparse, al desplazar a predictores tradicionales como la formación de pareja o la finalización de los estudios, y podría estar alterando el gradiente de clase en la emancipación española.
En este contexto, cabe preguntarse si los jóvenes de clase trabajadora continúan emancipándose antes que sus coetáneos de clase alta o si, dada la mayor flexibilidad en las formas de emancipación y la creciente dificultad para acceder a la vivienda, los recursos parentales –como patrimonio, ingresos y capital social– se han vuelto determinantes. Con base en las últimas evidencias y considerando que Iacovou (2010), Bernardi (2007) y Garrido y Requena (1996) emplearon datos de los años noventa, aquí se plantea que la relación entre clase social y emancipación en España ha cambiado:
H1. Una mejor posición socioeconómica parental se asocia, entre las generaciones actuales, con una emancipación más temprana.
Este efecto positivo se habría consolidado a lo largo de diferentes generaciones debido a los cambios en los procesos de emancipación juvenil en las últimas décadas:
H2. Entre las generaciones más antiguas, una mejor posición socioeconómica parental retrasaba la emancipación.
No obstante, se espera que el efecto de la clase social propia continúe siendo negativo, ya que una trayectoria de posicionamiento social más costosa en términos de capital humano debería retrasar la emancipación:
H3. Una mejor posición socioeconómica individual se relaciona con una emancipación más tardía en todas las generaciones.
Para contrastar estas hipótesis, se utilizará la base de datos del Estudio CIS 3233, Biografías de Emancipación, Generaciones y Cambio Social en España (Simó, Moreno, y Gil-Solsona, 2023), encuesta realizada a finales de 2018, con respuestas de 2457 personas mayores de dieciocho años sobre distintos acontecimientos vitales de su juventud. Esta base de datos permite comparar las transiciones juveniles entre diferentes generaciones de españoles que ya han completado esa etapa (excluyendo a los jóvenes actuales).
La variable dependiente principal del presenta análisis será la edad a la que las personas dejaron de vivir con sus progenitores de forma definitiva y la principal variable independiente será el estatus socioeconómico de los progenitores. Para garantizar una mayor robustez de los resultados, se plantean dos indicadores numéricos alternativos de este concepto, ambos ampliamente reconocidos: el International Socioeconomic Index of Occupational Status (ISEI) y el Occupational Earning Potential (OEP).
En primer lugar, el ISEI (Ganzeboom y Treiman, 1996) es un indicador de escala que refleja de manera precisa las variaciones en el estatus socioeconómico dado que se basa en los niveles promedio de educación e ingresos de las ocupaciones (Ganzeboom, 2010). Para adaptar este indicador a la base de datos –ya que, originalmente, usaba la clasificación internacional de ocupaciones ISCO08– se ha utilizado la CNO11 a tres dígitos a partir de la adaptación que realizan Bernardi y Ares (2017) para España.
Por su parte, el OEP (Oesch et al., 2024) es también un indicador de escala, pero clasifica las ocupaciones solo en función de su potencial de ingresos medianos, a diferencia del ISEI, que combina educación e ingresos (Oesch et al., 2024).
Aunque ambos indicadores están muy correlacionados y comparten una jerarquía subyacente similar, sus aplicaciones difieren: el OEP explica mejor la varianza de los ingresos, mientras que el ISEI es más útil para analizar la movilidad intergeneracional al incluir la educación como factor explicativo. En este análisis, se ha realizado una adaptación del OEP siguiendo a Oesch et al., (2024), utilizando la correspondencia entre la CNO11 y la ISCO08 a tres dígitos para España, al asignar el valor medio de las diferentes ocupaciones de la ISCO08, en el caso de que una misma ocupación de la CNO11 se vinculara a dos ocupaciones diferentes en dicha clasificación internacional. Ambos indicadores de clase son medidas internacionalmente reconocidas que facilitan la comparación entre países, estudios y cohortes y, además, permiten establecer una distinción más harmónica por nivel socioeconómico, sin necesidad de definir y modelizar categorías ocupacionales cualitativas.
A fin de conseguir un valor único tanto de ISEI como de OEP para el conjunto de la unidad familiar de origen, se toma el valor superior entre los de ambos progenitores o aquel que estuviera disponible, en el caso de solo haber uno. En todo caso, el dato se refiere al momento en el que la persona entrevistada tenía quince años. Las figuras 1 y 2 muestran la distribución de ambas variables para la muestra final. Se puede comprobar rápidamente como el indicador OEP (Oesch et al., 2024) tiene una distribución más amplia (sobrepasa los 90 puntos) y menos sesgada a la izquierda. Un 25 % de los progenitores de las personas entrevistadas superan el valor intermedio (50) de la escala de OEP, mientras que, en el caso del ISEI, el tercer cuartil se sitúa por debajo de 40.
El nivel socioeconómico propio de la persona entrevistada se operativiza usando el ISEI y el OEP con base en su ocupación actual (o la última conocida). A diferencia de la posición de origen, la propia clase social se mide como aquella finalmente alcanzada y no aquella con la que la persona contaba antes de emanciparse. Esto no se considera problemático a nivel metodológico, ya que no se entiende la clase social propia como un recurso que se utiliza a priori para impulsar el proceso de emancipación, sino en cuanto que proceso paralelo de posicionamiento social. En este sentido, un mayor nivel ocupacional personal no solo indicaría que la persona ha terminado obteniendo un mayor nivel de recursos, sino también que ha tenido un proceso de posicionamiento social más costoso en términos de tiempo y acumulación de capital humano.
En el ámbito estadístico, es necesario señalar que, en el caso de ambos indicadores, las variables de progenitores y jóvenes están correlacionadas, aunque no tanto como para producir problemas de colinealidad en los modelos, como se puede comprobar en la figura 3.
Resultados de los análisis estadísticos
El análisis que aquí se presenta se basa en una serie de modelos de supervivencia en tiempo discreto (Blossfeld y Rohwer, 1995; Zwick y Sklar, 2005). Esta metodología consiste en un modelo de regresión logística, en el que la variable dependiente es el hecho de haber experimentado o no un determinado evento (en este caso, irse de casa) y en el que las unidades de observación no son los sujetos, sino cada año de edad de cada sujeto (personas-periodo), para así poder comprobar si el fenómeno se ha dado para cada persona y en cada año de edad. Antes de presentar los resultados de los modelos, sin embargo, se mostrarán las curvas de supervivencia descriptivas.
Para el análisis, se ha restringido la base de datos a aquellos sujetos que tenían al menos treinta años en el momento de la entrevista, para evitar la censura a la derecha; esto es, evitar incluir en el análisis a sujetos demasiado jóvenes, cuya trayectoria de emancipación posterior no se conoce. También se ha excluido a quienes nunca han vivido con los progenitores (y, por tanto, no han podido irse) y quienes tienen algún valor perdido en las variables de análisis. Esto restringe la base de trabajo a 1706 individuos nacidos entre 1920 y 1988, aunque solo un 6 % ha nacido antes de 1940. Para el análisis, se ha tomado como edad inicial (t=0) los doce años, de forma que se ha descartado todo evento producido antes de dicha fecha.
Primera aproximación descriptiva
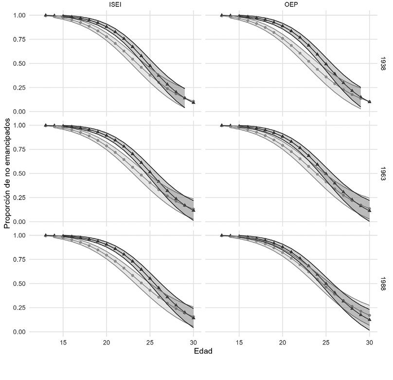
Antes de presentar los resultados de los modelos, la figura 4 muestra las curvas de supervivencia descriptivas –esto es, las proporciones de personas que seguían viviendo con los padres a cada edad– de dos subgrupos de la muestra: aquellos cuyos progenitores tienen un nivel socioeconómico bajo (20 o menos en la escala correspondiente, ISEI u OEP) y aquellos con un nivel medio-alto (mayor de 60). Dado que la hipótesis principal de este estudio es que el efecto de la clase social ha cambiado, se proporcionan los análisis segmentando por generación de nacimiento.
La figura permite comprobar cómo, efectivamente, el efecto de la clase parental sobre la emancipación ha cambiado a lo largo de las generaciones: para los nacidos antes de 1964 (y, en el caso del OEP, también los nacidos antes de 1975), una mayor clase social de origen retrasaba la emancipación respecto de quienes tenían un menor nivel. Para los nacidos a partir de 1975, no obstante, el efecto cambia de signo claramente en el caso de ambos indicadores, aunque más claramente en el caso del ISEI. El OEP no muestra una diferencia tan marcada, pero el cambio de tendencia respecto a generaciones anteriores es evidente. Estas diferencias son especialmente visibles entre los dieciocho y los veinticinco años y se reducen en edades más avanzadas.
A fin de comprobar si, efectivamente, es el nivel socioeconómico de los progenitores lo que está generando estas diferencias, y no otras variables, es necesario comprobar estos resultados mediante modelos de supervivencia multivariables, que, además, proporcionarán una visión más estilizada del efecto de la categoría socioeconómica.
Para estos modelos, se ha introducido, además de la edad y su cuadrado, el efecto del nivel ocupacional de los progenitores –ya sea ISEI o OEP–, el sexo y la nacionalidad de la persona entrevistada, así como la comunidad autónoma de residencia (agrupadas en las regiones NUTS1). En una fase posterior de construcción de los modelos, se ha incluido la categoría ocupacional de la persona entrevistada –medida con el ISEI o el OEP, respectivamente– a fin de comprobar de qué forma el propio proceso de posicionamiento social influye en la edad de emancipación y de separar el efecto de la clase social de los progenitores del de la clase social propia.
Tras restringir la muestra a los casos que contienen información válida sobre todas las variables, se cuenta con una base de datos final de 20 350 personas-periodo, procedentes de 1706 casos individuales observados durante una media de 11,9 años. Los datos han sido ponderados mediante una variable de peso poblacional, no incluida en el estudio, que se ha generado para ajustar la muestra a la composición por sexo, edad y lugar de nacimiento de la población española según el padrón a 1 de enero de 2019.
Las tablas de coeficientes de los modelos se encuentran en el anexo y hay otras tablas con fases previas del proceso de construcción disponibles bajo petición a los autores. No obstante, hay que considerar que los coeficientes recogidos en dichas tablas, correspondientes a cada cambio de una unidad de cada variable independiente, no permiten ver con claridad los efectos globales de las variables, al ser de escasa magnitud. Además, las diferencias entre las curvas de emancipación de jóvenes de diferentes clases sociales son insignificantes al principio –a los doce años– y aumentan a medida que avanza la edad, como se ha visto en la figura 4. Para poder comprender mejor la verdadera magnitud de las diferencias de clase –y su evolución–, se han acompañado los análisis con unas predicciones de los valores marginales de las curvas de supervivencia completas; es decir, la probabilidad de seguir viviendo con los padres según predicen los modelos. Estas estimaciones se acompañan de errores estándar, siguiendo el método de Zwick y Sklar (2005). La figura 5 muestra los resultados de esta estimación.
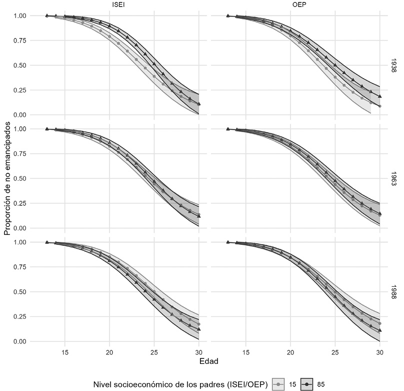
En dicha figura, se pueden observar las probabilidades de seguir viviendo con los padres, a cada edad, para sujetos procedentes de diferentes clases sociales y diferentes generaciones, controlando los efectos del sexo, la nacionalidad y la región (NUTS1). Como complemento, la tabla 1 muestra las estimaciones y los errores estándar de las curvas para la edad de veinticinco años, un punto en el que las diferencias suelen ser muy marcadas.
La figura 5 y la tabla 1 muestran claramente cómo el efecto de la clase social de los progenitores sobre la emancipación ha ido cambiando a lo largo de las generaciones: al basarse en el ISEI, si, entre los nacidos en 1938, tener progenitores de clase alta implicaba una mayor probabilidad de cohabitar con ellos (53 %) respecto a los jóvenes de clase baja (41 %), para la generación de 1988, la probabilidad era menor entre la juventud de clase alta (40,8 %) que entre la juventud de clase baja (48,9 %). En cincuenta años, la diferencia en los niveles de emancipación a los veinticinco años entre clases sociales ha pasado de ser de un 11,9 % a favor de las clases bajas a un -8,1 % en su contra; es decir, un cambio de 20 puntos porcentuales. En este caso, las diferencias entre las tasas de cohabitación de las clases altas y bajas son estadísticamente significativas, como muestran los p-valores del test z correspondiente. Además, se ha utilizado un test de Wald de diferencias entre diferencias para poder afirmar que la diferencia entre clases sociales ha cambiado de forma estadísticamente significativa a lo largo de las generaciones.
Para el caso de los modelos basados en el OEP, las cifras son similares, aunque los márgenes de error son más amplios, lo que hace que los test z no aporten significatividad estadística entre los nacidos en 1988, pero sí el test de Wald. En cualquier caso, el hecho de que ambos indicadores capturen un cambio en el mismo sentido –los jóvenes de origen obrero se emancipaban antes, pero ahora se emancipan después que los jóvenes de clase alta– aporta solidez a los presentes resultados.
El efecto de la clase social propia
Antes se ha mencionado que el proceso de posicionamiento social de la juventud suele tener un efecto distinto sobre la emancipación al que tiene su clase social de origen. En un segundo grupo de modelos, se va a comprobar cuál es este efecto y si cambia a lo largo de las generaciones. De nuevo, los modelos se muestran en el anexo y aquí solo se expondrán las estimaciones de las curvas de supervivencia procedentes de la predicción marginal de los modelos.
Como muestran las estimaciones de la figura 6 y la tabla 2, el efecto del propio proceso de enclasamiento sobre el proceso de emancipación es mucho más estable a lo largo de las generaciones que el de los progenitores: para todas las cohortes de nacimiento, aquellas personas que han conseguido una posición socioeconómica más elevada han experimentado una emancipación más tardía que quienes tienen una menor posición. Hay que señalar, sin embargo, que, si se mide la clase social mediante el OEP en lugar de mediante el ISEI, los datos parecen apuntar a una reducción de las desigualdades asociadas al propio proceso de enclasamiento en la emancipación: si en 1938 la diferencia era de 13,2 puntos porcentuales, en 1988 se habría reducido a 3,4. La diferencia habría venido básicamente por la parte de los jóvenes con posiciones de clase baja, que habrían asimilado así sus trayectorias de emancipación a los jóvenes con una buena posición de clase adquirida, sin que estos hubieran cambiado su pauta. Sin embargo, el test de Wald en este caso no proporciona evidencia estadística suficiente para afirmar que el efecto de la propia clase social haya cambiado de forma significativa.
Interacción de la clase social propia y la clase social de origen
Ahora bien, ¿cómo interactúan la posición de clase de los progenitores y la propia? Para responder a esta pregunta, el tercer par de modelos de los anexos muestra dos modelos que incluyen tanto la clase social propia como la de los progenitores y, en último término, una interacción entre ambos. De nuevo, solo se analizarán las predicciones marginales y, dada la complejidad de los modelos, el análisis se centrará, especialmente, en comparar las probabilidades de estar emancipados a los veinticinco años.
En primer lugar, la tabla 3 proporciona las probabilidades de estar emancipados a los veinticinco años según los modelos 3 y 3B del anexo, que introducen tanto la clase social de los progenitores como la propia, aunque esta última solo como variable de control, sin interactuar ni con la edad ni con la generación. El único cambio que genera este control es, si acaso, una menor probabilidad de seguir viviendo con los progenitores entre jóvenes de clase alta –la diferencia más visible son cuatro puntos menos para los nacidos en 1938 según el modelo de ISEI–, aunque, virtualmente, los resultados son idénticos a los de la figura 5 y la tabla 1.
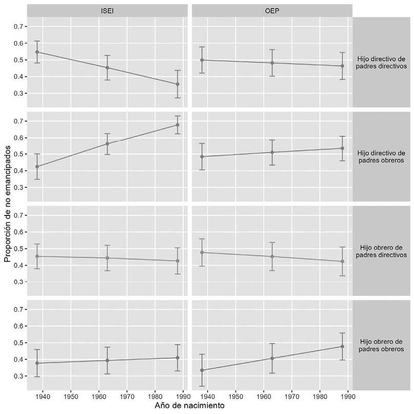
Finalmente, los modelos 4 y 4B del anexo incorporan la interacción de ambas puntuaciones de clase (la propia y la de origen) y de estas con la edad. Para simplificar el análisis, se analizará cómo han cambiado las curvas de emancipación, a los veinticinco años, para cuatro posibles combinaciones de valores: jóvenes de clase alta provenientes de familias también de clase alta (puntuaciones de 85 y 85 en las variables de la clase propia y la clase de origen), jóvenes de clase alta de familias de clase baja (puntuaciones de 85 y 15), jóvenes de clase baja de familias de clase alta (puntuaciones de 15 y 85) y, finalmente, jóvenes de clase baja de familias de clase baja (puntuaciones de 15 y 15). Para facilitar el seguimiento de los resultados, se han utilizado los términos «directivos» y «obreros» para referirse a las posiciones de clase alta y baja, respectivamente.
En la figura 7 y en la tabla 4, se puede comprobar cómo la clase social de origen y la propia clase social interactúan de forma significativa con el proceso de emancipación y, además, cómo la influencia de ambos procesos se ha visto alterada con el paso de las generaciones. Sin embargo, también es posible comprobar cómo el efecto de esta interacción cambia según el indicador utilizado. En primer lugar, los «hijos directivos de padres directivos» (puntuaciones de 85 y 85) han experimentado una reducción de un 19,3 % en su tasa de cohabitación (con los padres) a los veinticinco años, según los modelos de ISEI, aunque los modelos basados en OEP limitan esta reducción a un 3,6 % no significativo. En segundo lugar, los «hijos directivos de padres obreros» han incrementado en un 25,3 % su probabilidad de seguir viviendo en casa de los progenitores a los veinticinco años, según el modelo de ISEI; el modelo de OEP reduce esta diferencia a 5 puntos. Los «hijos obreros de padres directivos» no habrían visto modificadas sus estimaciones según ambos modelos; sin embargo, los «hijos obreros de padres obreros» sí que habrían experimentado un incremento importante en sus tasas de cohabitación a los veinticinco años: un 14,3 % según el modelo de OEP; un 3,2 % –no significativo– según el modelo de ISEI.
En síntesis, estos resultados apuntan a un retraso de las trayectorias de emancipación de la juventud de clase trabajadora a lo largo de los últimos cincuenta años, al que le ha acompañado un adelanto de la edad de emancipación de la juventud de clase alta. Se trata de un efecto que, según el indicador ISEI, se habría intensificado para la juventud de clase trabajadora que experimenta movilidad social ascendente. No obstante, según el OEP, los efectos más intensos los habrían recibido quienes se han mantenido en una posición de clase trabajadora. Tal vez el diferente énfasis que pone el ISEI en la cuestión educativa y, por tanto, en la acumulación de capital humano frente al efecto de los ingresos esté detrás de estas diferencias.
En este estudio, se ha analizado cómo la clase social de origen, medida mediante los índices ISEI y OEP, influye en los procesos de emancipación de la juventud española y cómo esta influencia ha cambiado durante los últimos cincuenta años, entre las generaciones nacidas en el segundo cuarto del siglo xx y las nacidas hasta finales de los ochenta. Utilizando datos del Estudio CIS 3233 y aplicando curvas y modelos de supervivencia, los principales hallazgos pueden resumirse en tres puntos clave.
El primero y principal es que el efecto de la clase social de origen sobre el proceso de emancipación ha cambiado. Así, se ha podido comprobar cómo, para los nacidos a mediados del siglo pasado, ser de familia de clase alta suponía normalmente una emancipación más tardía, con tasas de emancipación más de un 10 % menores que las de la clase baja. Esto permite dar por contrastada la primera hipótesis (H1) y, además, está en consonancia con los hallazgos de Iacovou (2010) o Garrido y Requena (1996), que planteaban cómo los progenitores de clase alta prevenían que sus descendientes se fueran de casa «demasiado pronto» y promovían que estos aseguraran su proceso de posicionamiento social. Sin embargo, este efecto de clase habría cambiado completamente para las generaciones nacidas a finales del siglo xx. Para los millennials, proceder de una familia de clase alta supone casi un 8 % más de probabilidades de haberse emancipado a los veinticinco años respecto a quienes proceden de una clase inferior. Esto, por tanto, permite dar por confirmada también la segunda hipótesis (H2).
Este cambio en el gradiente de clase en la emancipación se puede deber, a juicio de los autores, fundamentalmente a dos factores. Primero, el primero es el cambio en las formas de emanciparse, que ya no se limitan a la formación de una pareja, sino que admiten nuevas formas de irse de casa, como los pisos compartidos o la semidependencia, formas que, además, son más frecuentes entre la juventud de clase alta e implican un abandono más temprano del hogar de origen. En segundo lugar se encuentra la creciente importancia del acceso a la vivienda como factor determinante en la emancipación durante las últimas tres décadas (Echaves, 2017; Jurado, 2003). Este acceso resulta significativamente más fácil para los jóvenes que cuentan con mayor apoyo económico familiar, ya sea en forma de bienes muebles o inmuebles (Boertien y López-Gay, 2023) o que pueden beneficiarse de redes más sólidas de capital social (Laurison y Friedman, 2024).
El presente estudio también muestra cómo, a diferencia de la clase social de origen, la clase social propia ha seguido jugando un papel similar durante los cincuenta años analizados: adquirir una mejor posición socioeconómica implica, en términos generales, una menor probabilidad de irse de casa durante la veintena, pero, posteriormente, una emancipación más rápida. Esto, por tanto, permite confirmar la tercera hipótesis (H3).
Finalmente, se ha comprobado cómo los efectos de la clase social de origen y de la posición propia interactúan, pero esta interacción cambia según el indicador de nivel socioeconómico considerado. Se podría apuntar, como interpretación tentativa, que el indicador OEP, que prioriza en exclusiva los ingresos potenciales como medidor de la clase, es más sensible al retraso de la emancipación de la juventud de clase trabajadora que no logra movilidad social ascendente, precisamente aquella que tendrá un nivel de ingresos inferior. Por su parte, el ISEI, que considera las diferencias de cualificación entre las diferentes ocupaciones en su medición de la clase social, coloca en una peor posición a la juventud de clase trabajadora que ha experimentado movilidad social ascendente y, por tanto, que ha atravesado un proceso de acumulación de capital humano más costoso, sin una posición familiar ventajosa.
Puestos en perspectiva, los hallazgos del presente estudio muestran cómo la sociedad española comienza a reproducir mecanismos de desigualdad que ya eran visibles en otras sociedades hace unas décadas, pero que Bernardi (2007), Iacovou (2010) o Ferraretto y Vitali (2024) no habían detectado en España –en el último caso, al no diferenciar por cohorte de nacimiento–. En cualquier caso, considerar la desigualdad de clase que atraviesa los procesos de emancipación es relevante para abrir la óptica con la que se analiza la situación de la juventud española: no todos los jóvenes se van de casa tarde y aquellos que consiguen completar una trayectoria de emancipación de forma relativamente temprana lo hacen ayudados por su posición social de origen.
El presente estudio, si bien proporciona hallazgos interesantes, cuenta con diferentes limitaciones. La primera tiene que ver con los diferentes matices que aportan los dos indicadores utilizados, que sugieren diferencias de concepto a la hora de cuantificar la clase social, como potencial de ingresos o la combinación de estos y la cualificación. Será necesario que otras investigaciones profundicen en este aspecto. Además, sería necesario comprender no solamente las diferencias de calendario en los procesos de emancipación juvenil, sino también sus trayectorias: ¿realmente la forma de residencia –en pareja, solos, compartiendo piso– es clave a la hora de distinguir las emancipaciones obreras de las de la clase media? ¿Se debe tener en cuenta la dimensión de independencia económica y no solamente la separación residencial? ¿Qué papel juega el régimen de tenencia en la ecuación? Todas ellas son preguntas que solamente se podrán contestar con nuevos datos, pero que sin duda ayudarán a obtener una mejor comprensión de los procesos de emancipación de la juventud española y de las desigualdades de clase que la atraviesan.
Aassve, Arnstein; Billari, Francesco C.; Mazzuco, Stefano y Ongaro, Fausta (2002). «Leaving Home Ain’t Easy. A Comparative Longitudinal Analysis of ECHP Data». Journal of European Social Policy, 12(4): 259–275. doi: 10.1177/a028430
Anxo, Dominique (2010). Towards an active and integrated life course policy: the Swedish experience. En: D.Anxo; G. Bosch y J. Rubery (eds.). The welfare state and life transitions: a European Perspective (pp. 104-127). Edward Elgar.
Arundel, Rowan y Ronald, Richard (2016). «Parental Co-residence, Shared Living and Emerging Adulthood in Europe: Semi-dependent Housing across Welfare Regime and Housing System Contexts». Journal of Youth Studies, 19(7): 885-905. doi: 10.1080/13676261.2015.1112884
Ayllón, Sara (2015). «Youth Poverty, Employment, and Leaving the Parental Home in Europe». Review of Income and Wealth, 61(4): 651-676. doi: 10.1111/roiw.12122
Baizan, Pau (2003). «La difícil integración de los jóvenes en la edad adulta». Documento de trabajo del Laboratorio de Alternativas (Vol. 33). Disponible en: https://fundacionalternativas.org/wp-content/uploads/2022/07/xmlimport-1a4U5j.pdf, acceso 10 de octubre 2025.
Beck, Ulrich y Beck-Gernsheim, Elisabeth (2002). Individualization: Institutionalized Individualism and its Social and Political Consequences. SAGE.
Becker, Sascha; Bentolila, Samuel; Fernandes, Ana e Ichino, Andrea (2010). «Youth Emancipation and Perceived Job Insecurity of Parents and Children». Journal of Population Economics, 23(3): 1047-1071. doi: 10.1007/s00148-008-0224-5
Bernardi, Fabrizio (2007). «Movilidad social y dinámicas familiares. Una aplicación al estudio de la emancipación familiar en España». Revista Internacional de Sociología, 65(48): 33-54. Disponible en: http://revintsociologia.revistas.csic.es/index.php/revintsociologia/article/viewArticle/67
Bernardi, Fabrizio y Ares Abade, Macarena (2017). «Education as the (not so) great equalizer: new evidence based on a parental fixed effect analysis for Spain». EUI Working paper SPS, 6. Disponible en: https://hdl.handle.net/1814/48264
Billari, Francesco C. y Liefbroer, Aart C. (2010). «Towards a New Pattern of Transition to Adulthood?». Advances in Life Course Research, 15: 59-75. doi: 10.1016/j.alcr.2010.10.003
Blossfeld, Hans-Peter y Rohwer, Götz (1995). Techniques of Event History Modeling. New Approaches to Causal Analysis. Lawrence Edbaum.
Boertien, Diederick y López-Gay, Antonio (2023). «The Polarization of Real Estate Ownership and Increasing Wealth Inequality in Spain». European sociological review, 39(4): 615-629.
Bourdieu, Pierre (1986). The Forms of Capital. En: J. Richardson (ed.). Handbook of Theory and Research for the Sociology of Education (pp. 241–258). Greenwood.
Cabre, Anna y Módenes, Juan A. (2004). Home Ownership and Social Inequality in Spain. En: K. Kurz y H.-P. Blossfeld (eds.). Home Ownership and Social Inequality in Comparative Perspective (pp. 233-254). Stanford University Press.
Calvert, Emma (2010). Young people’s housing transitions in context (ESRC Centre for Population Change Working Paper no 8). Disponible en: https://www.cpc.ac.uk/docs/2010_WP8_Young_Peoples_Housing_Transitions_in_Context_Calvert_et_al.pdf, acceso 10 de octubre 2025.
Casal, Joaquim (1996). «Modos Emergentes de Transición a la Vida Adulta en el Umbral del Siglo XXI: Aproximación sucesiva, precariedad y desestructuración». Revista Española de Investigaciones Sociológicas, 75: 295-316. Disponible en: https://ddd.uab.cat/pub/artpub/1990/117121/revespinvsoc_a1996n75p295.pdf
Casal, Joaquim; Garcia, Maribel; Merino, Rafael y Quesada, Miguel (2006). «Changes in Forms of Transition in Contexts of Informational Capitalism». Papers: Revista de sociologia, 79: 195-223.
Consejo de la Juventud de España (2024). Observatorio de Emancipación 2o semestre 2023. Disponible en: https://www.cje.org/ca/observatorio-de-emancipacion/#268-274-segundo-semestre-2023, acceso 10 de octubre 2025.
De Jong Gierveld, Jenny; Liefbroer, Aart C. y Beekink, Erik (1991). «The Effect of Parental Resources on Patterns of Leaving Home among Young Adults in the Netherlands». European Sociological Review, 7(1): 55-71. doi: 10.1093/oxfordjournals.esr.a036577
Echaves García, Antonio (2017). «Emancipación residencial y sistema de provisión de vivienda: la heterogeneidad autonómica del modelo español». Revista Española de Investigaciones Sociológicas, 159: 51-72. doi: 10.5477/cis/reis.159.51
Eurostat (2023). When do young Europeans leave their parental home? Disponible en: https://ec.europa.eu/eurostat/web/products-eurostat-news/w/ddn-20230904-1, acceso 10 de octubre 2025.
Flaquer, Lluís (2004). «La articulación entre familia y el Estado de bienestar en los países de la Europa del sur». Papers, 73: 27-58.
Furlong, Andy y Cartmel, Fred (2007). Young people and social change. New perspectives. Mc Graw-Hill Open University Press.
Fuster, Nayla; Arundel, Rowan y Susino, Joaquin (2019). «From a Culture of Homeownership to Generation Rent: Housing Discourses of Young Adults in Spain». Journal of Youth Studies, 22(5): 585-603. doi: 10.1080/13676261.2018.1523540
Fuster, Nayla; Palomares-Linares, Isabel y Susino, Joaquín (2023). «Changes in Young People’s Discourses about Leaving Home in Spain after the Economic Crisis». Advances in Life Course Research, 55. doi: 10.1016/j.alcr.2023.100526
Garrido, Luis y Requena, Miguel (1996). La emancipación de los jóvenes en España. Madrid: Instituto de la Juventud.
Gaviria, Sandra (2007). Juventud y familia en Francia y en España. Madrid: CIS; Siglo XXI.
Gentile, Alessandro (2006). «Una precaria transición a la edad adulta: inestabilidad laboral y límites del régimen familista de Estado del Bienestar. El caso de España». Documentos de Trabajo, Instituto de Políticas y Bienes Públicos (CSIC) (N.o 02-2006). Disponible en: http://hdl.handle.net/10261/1661
Gil Calvo, Enrique (2002). «Emancipación tardía y estrategia familiar». Revista de Estudios de Juventud, 58: 1-9. Disponible en: https://www.injuve.es/sites/default/files/articulo1.pdf, acceso 10 de octubre 2025.
Gil-Solsona, David (2023). «“Not Really Leaving Home” in Southern Europe: Intermediate Living Situations in Catalan Youth Housing Trajectories». Journal of Youth Studies, 26(8): 1084-1107. doi: 10.1080/13676261.2022.2065912
Gil-Solsona, David (2024). «La segunda transición demográfica y la emancipación juvenil en España». Quaderns de Polítiques Familiars, 9: 74-95.
Goldscheider, Frances y Da Vanzo, Julie (1989). «Pathways to Independent Living in Early Adulthood : Marriage , Semiautonomy , and Premarital Residential Independence». Demography, 26(4): 597-614.
Holdsworth, Clare (2000). «Leaving Home in Britain and Spain». European Sociological Review, 16(2): 201-222. doi: 10.1093/esr/16.2.201
Iacovou, Maria (2010). «Leaving Home: Independence, Togetherness and Income». Advances in Life Course Research, 15(4): 147-160. doi: 10.1016/j.alcr.2010.10.004
Jones, Gill (2000). «Experimenting with Households and Inventing “Home”». International Social Science Journal, 52(164): 183-194. doi: 10.1111/1468-2451.00250
Jurado Guerrero, Teresa (2003). «La vivienda como determinante de la formación familiar en España desde una perspectiva comparada». Revista española de investigaciones sociológicas, 103: 113-157. Disponible en: https://dialnet.unirioja.es/descarga/articulo/767078.pdf
Laurison, Daniel y Friedman, Sam (2024). «The Class Ceiling in the United States: Class-Origin Pay Penalties in Higher Professional and Managerial Occupations». Social Forces, 103(1): 22-44. doi: 10.1093/sf/soae025
Lennartz, Christian; Arundel, Rowan y Ronald, Richard (2016). «Younger Adults and Homeownership in Europe Through the Global Financial Crisis». Population, Space and Place, 22: 823-835.
López Blasco, Andreu (2008). Jóvenes en una sociedad cambiante: demografía y transiciones a la vida adulta. En: Informe Juventud en España 2008 (pp. 13-229). Madrid: Instituto de la Juventud.
Machado Pais, Jose (2000). «Transitions and Youth Cultures: Forms and Performances». International Social Science Journal, 52(164): 219-232. doi: 10.1111/1468-2451.00253
Marí-Klose, Pau; Julià, Albert y Marí-Klose, Marga (2013). Emancipació Domiciliària i Família. Joves i Família en els processos de transició a la vida adulta: teixint nous lligams. En: P. Serracant (ed.). Enquesta a la Joventut de Catalunya 2012 (pp. 225-329). Disponible en: www.gencat.cat/joventut/observatori
Miguélez, Fausto y Recio, Albert (2010). The uncertain path from the Mediterranean welfare model in Spain. En: D. Anxo; G. Bosch y J. Rubery (eds.). The welfare state and life transitions: a European Perspective (pp. 284-308). Edward Elgar.
Mills, Melinda y Blossfeld, Hans-Peter (2005). Globalization, uncertainty and the early life course. A theoretical framework. En: H.-P. Blossfeld; E. Klijzing; M. Mills y K. Kurz (eds.). Globalization, uncertainty and youth in society: The losers in a globalizing world (pp. 1-23). London: Routledge.
Ministerio de Fomento (2019). Boletín Especial Alquiler residencial 2019. Ministerio de Vivienda y Agenda Urbana: Observatorio de vivienda y suelo.
Miret Gamundi, Pau (2005). «Irse de casa: análisis longitudinal de la emancipación residencial en España durante el siglo XX». Revista de Demografía Histórica, XIII(II): 111-137.
Moreno Mínguez, Almudena (2012). «The Transition to Adulthood in Spain in a Comparative Perspective: The Incidence of Structural Factors». Young, 20(1): 19-48. doi: 10.1177/110330881102000102
Moreno Mínguez, Almudena (2018). «The Youth Emancipation in Spain: a Socio-demographic Analysis». International Journal of Adolescence and Youth, 23(4): 496-510. doi: 10.1080/02673843.2018.1438299
Moreno Mínguez, Almudena y Sánchez Galán, F. Javier (2020). «The Diversity of Youth Transitions in Spain from a Socio-demographic Perspective». Revista Española de Sociología, 29(3): 47-68. doi: 10.22325/FES/RES.2020.74
Oesch, Daniel; Lipps, Oliver; Shahbazian, Roujman; Bihagen, Erik y Morris, Katy (2024). Occupational earning potential: A new measure of social hierarchy applied to Europe. doi: 10.31235/osf.io/w9akc
Pareja Eastaway, Montserrat y San Martín Varo, Ignacio (2002). The Tenure Imbalance in Spain: The Need for Social Housing Policy. Urban Studies, 39(2): 283-295. doi: 10.1080/00420980120102975
Simó Noguera, Carles Xavier; Golsch, Katrin y Steinhage, Nikolei (2002). «Increasing Uncertainty in the Spanish Labor Market and Entry into Parenthood». Genus, LVIII(1): 77-119. doi: 10.2307/29788714
Simó Noguera, Carles Xavier; Moreno, Almudena y Gil Solsona, David (2023). La entrada en la vida adulta de hombres y mujeres a través de las generaciones en España (1920-2000). Madrid: Centro de Investigaciones Sociológicas.
Simón, Pablo y Clavería, Silvia (2020). La emancipación juvenil y familia: una perspectiva general. En: P. Simón (ed.). Informe juventud en España 2020 (pp. 109-155). Madrid: Instituto de la Juventud. Disponible en: https://www.injuve.es/sites/default/files/adjuntos/2021/03/informe_juventud_espana_2020.pdf, acceso 10 de octubre 2025.
Tucci, Violetta (2024). «Housing Independence Pathways in Europe: The Influence of Parents’ Socio-economic Background in Times of Economic stress Housing Independence Pathways in Europe: The Influence of Stress». Journal of Youth Studies, 1-21. doi: 10.1080/13676261.2024.2378307
Velde, Cécile van de (2008). Devenir adulte: sociologie comparée de la jeunesse en Europe. Presses Universitaires de France. doi: 10.2304/eerj.2010.9.3.431
Zárraga, Jose Luis de (1985). Informe Juventud en España. La inserción de los jóvenes en la sociedad. Madrid: Instituto de la Juventud.
Zwick, Rebecca y Sklar, Jeffrey C. (2005). «A Note on Standard Errors for Survival Curves in Discrete-Time Survival Analysis». Journal of Educational and Behavioral Statistics, 30(1): 75-92. doi: 10.3102/10769986030001075
|
|
Modelos que usan el ISEI como medida de la clase social |
Modelos que usan el OEP como medida de la clase social |
||||||
|
|
Modelo 1 |
Modelo 2 |
Modelo 3 |
Modelo 4 |
Modelo 1B |
Modelo 2B |
Modelo 3B |
Modelo 4B |
|
Constante |
27,858 |
-7,911 |
-5,027*** |
-5,244*** |
2,792 |
16,335 |
-5,652*** |
-4,939*** |
|
t (Edad) |
-1,028 |
1.242 |
0,453*** |
0,454*** |
1,394 |
-0,275 |
0,513*** |
0,473*** |
|
t2 |
-0,013*** |
-0,013*** |
-0,013*** |
-0,013*** |
-0,013*** |
-0,013*** |
-0,013*** |
-0,013*** |
|
clase progenitores |
-0,948 |
-0,026+ |
-0,013 |
0,009 |
-0,002 |
0,005 |
||
|
t * clase progenitores |
-0,017+ |
0,002 |
0,001 |
-0,004 |
0 |
-0,002 |
||
|
Año de nacimiento |
0 |
-0,017+ |
0,002 |
0 |
-0,004 |
-0,01 |
||
|
clase progenitores * Año de nacimiento |
0,059 |
0 |
0 |
-0,029 |
0 |
0 |
||
|
t * Año de nacimiento |
0,001 |
0,001 |
0 |
0 |
0 |
0 |
||
|
t * clase progenitores * Año de nacimiento |
0 |
0 |
0 |
0 |
0 |
0 |
||
|
clase sujeto |
|
0,129 |
-0,003* |
-0,004 |
-0,387 |
-0,002 |
-0,032* |
|
|
t * clase sujeto |
|
0,001 |
0,001 |
-0,011 |
0,002* |
|||
|
clase sujeto * Año de nacimiento |
|
0 |
0 |
0 |
0 |
|||
|
t * clase sujeto * Año de nacimiento |
|
-0,009 |
0 |
0,022 |
0 |
|||
|
clase progenitores * clase sujeto |
|
0 |
0 |
0 |
0 |
|||
|
clase progenitores * clase sujeto * Año nacim |
|
0 |
0 |
0 |
0 |
|||
|
sexo [Mujer] |
0,324*** |
0,315*** |
0,325*** |
0,313*** |
0,325*** |
0,304*** |
0,314*** |
0,307*** |
|
Lugar de nacimiento [Extranjero] |
0,459*** |
0,438*** |
0,424*** |
0,405*** |
0,46*** |
0,45*** |
0,443*** |
0,436*** |
|
ES7 [Canarias] |
0,367* |
0,33* |
0,331* |
0,33* |
0,374* |
0,335* |
0,353* |
0,349* |
|
ES1 [Noroeste] |
0,266* |
0,253* |
0,245* |
0,228+ |
0,274* |
0,271* |
0,264* |
0,275* |
|
ES4 [Centro] |
0,005 |
-0,005 |
-0,016 |
-0,024 |
0,008 |
-0,004 |
0,002 |
-0,009 |
|
ES2 [Noreste] |
0,012 |
0,007 |
0,011 |
-0,006 |
0,025 |
0,009 |
0,027 |
0,014 |
|
ES5 [Este] |
0,102 |
0,089 |
0,084 |
0,082 |
0,107 |
0,091 |
0,098 |
0,097 |
|
ES6 [Sur] |
0,135 |
0,117 |
0,1 |
0,108 |
0,135 |
0,122 |
0,118 |
0,122 |
|
Observaciones |
20350 |
20350 |
20350 |
20350 |
20350 |
20350 |
20350 |
20350 |
|
R2 Tjur |
0,097 |
0,098 |
0,097 |
0,098 |
0,096 |
0,097 |
0,096 |
0,097 |
|
AIC |
10 366 896 |
10 342 491 |
10364,82 |
10 345 808 |
10 368 824 |
10 349 409 |
10 369 669 |
10 356 335 |
+ p<0,1; * p<0,05; ** p<0,01; *** p<0,001.
Fuente: Elaboración propia con datos del Estudio 3233 del CIS.
Figura 1. Distribución de la variable ISEI de la familia de origen. Muestra final del análisis. Mayores de 30 años, España, 2018

Fuente: Estudio CIS 3233.
Figura 2. Distribución de la variable OEP de la familia de origen. Muestra final del análisis. Mayores de 30 años, España, 2018

Fuente: Estudio CIS 3233.
Figura 3. Relación entre el nivel ocupacional de las personas entrevistadas y el de sus progenitores, medidas con el ISEI y el OEP. Muestra final del análisis. Mayores de 30 años, España, 2018

Fuente: Elaboración propia con datos del Estudio CIS 3233.
Figura 4. Curvas de supervivencia del evento «irse de casa de los progenitores definitivamente» según tramo de ISEI de los padres y generación de nacimiento. Comparación del tramo más bajo (ISEI<=20) con el más alto (ISEI>60)

Fuente: Estudio CIS 3233.
ISEI
Tramo (ISE/OEP) padres
(0,20]
(60,100]
OEP
1920-1952
1953-1964
1965-1974
1975-1988
Figura 5. Curvas de supervivencia procedentes de los modelos 1 y 1B del anexo, según clase social de los padres (ISEI/OEP) y año de nacimiento, controlando por sexo, nacionalidad y región de residencia

Fuente: Elaboración propia con datos del Estudio CIS 3233.
Tabla 1. Estimaciones de la curva de supervivencia a los 25 años según puntuación de ISEI/OEP de los padres y año de nacimiento. Modelos 1 y 1B
|
Indicador |
ISEI |
OEP |
||||
|
Año de nacimiento |
1938 |
1963 |
1988 |
1938 |
1963 |
1988 |
|
Supervivientes en t=25 clase baja (15) |
41 |
45 |
48,9 |
37,9 |
43,9 |
49,8 |
|
Err. estándar clase baja (15) |
2,7 |
2,6 |
2,5 |
3,9 |
3,7 |
3,4 |
|
Supervivientes en t =25 clase alta (85) |
53 |
47,3 |
40,8 |
49,9 |
47,5 |
44,9 |
|
Err. estándar clase alta (85) |
2,3 |
2,5 |
2,7 |
3,4 |
3,5 |
3,6 |
|
Diferencia de clase (surv 85-surv 15) |
11,9*** |
2,3 |
-8,1* |
12* |
3,5 |
-4,9 |
|
P> |Z| Test Z de diferencia de proporciones (85-15) |
0 |
0,52 |
0,03 |
0,02 |
0,49 |
0,32 |
|
Cambio en la diferencia de clase |
+20*** |
16,9* |
||||
|
P> |Z| Test de Wald de diferencias entre las diferencias de proporciones (clase alta-clase baja en 1988 menos clase alta-clase baja en 1938) |
Wald.test: Z= 3,9 p>|Z|=0 |
Wald.test: Z= 2,35 p>|Z|=0,019 |
||||
+ p<0,1; * p<0,05; ** p<0,01; *** p<0,001.
Fuente: Elaboración propia con datos del Estudio 3233 del CIS.
Figura 6. Curvas de supervivencia procedentes de los modelos 2 y 2B del anexo, según clase social de la persona entrevistada (ISEI/OEP) y año de nacimiento, controlando por sexo, nacionalidad y región de residencia
Fuente: Elaboración propia con datos del Estudio CIS 3233.
Nivel socioeconómico de la p. entrevistada (ISEI/OEP)
15
85
Tabla 2. Estimaciones de la curva de supervivencia a los 25 años según puntuación de ISEI/OEP de los padres y año de nacimiento. Modelos 2 y 2B
|
Indicador |
ISEI |
OEP |
||||
|
Año de nacimiento |
1938 |
1963 |
1988 |
1938 |
1963 |
1988 |
|
Supervivientes en t=25 clase baja (15) |
37,8 |
40,4 |
43 |
36 |
41,3 |
46,5 |
|
Err. estándar clase baja (15) |
3,8 |
3,7 |
3,6 |
4,1 |
3,9 |
3,6 |
|
Supervivientes en t=25 clase alta (85) |
47,5 |
51,4 |
55,1 |
49,2 |
49,6 |
49,9 |
|
Err. estándar clase alta (85) |
3,4 |
3,2 |
3,1 |
3,4 |
3,4 |
3,4 |
|
Diferencia de clase (surv 85-surv 15) |
9,7+ |
11* |
12,1* |
13,2** |
8,3 |
3,4* |
|
P> |Z| Test Z de diferencia de proporciones (85-15) |
0,06 |
0,03 |
0,01 |
0,01 |
0,11 |
0,5 |
|
Cambio en la diferencia de clase |
-2,4 |
9,8 |
||||
|
P> |Z| Test de Wald de diferencias entre las diferencias de proporciones (clase alta-clase baja en 1988 menos clase alta-clase baja en 1938) |
Wald.test: Z=-0,35 P>|Z|=0,728 |
Wald.test: Z=1,34 |
||||
+ p<0,1; * p<0,05; ** p<0,01; *** p<0,001.
Fuente: Elaboración propia con datos del Estudio 3233 del CIS.
Tabla 3. Estimaciones de la curva de supervivencia a los 25 años según puntuación de ISEI/OEP de los padres y año de nacimiento, controlando por la puntuación de ISEI/OEP de la persona entrevistada. Modelos 3 y 3B
|
Indicador |
ISEI |
OEP |
||||
|
Año de nacimiento |
1938 |
1963 |
1988 |
1938 |
1963 |
1988 |
|
Supervivientes en t=25 clase baja (15) |
41,1 |
46,4 |
51,5 |
38,6 |
44,5 |
50,3 |
|
Err. estándar clase baja (15) |
3,5 |
3,3 |
3,1 |
3,9 |
3,6 |
3,4 |
|
Supervivientes en t=25 clase alta (85) |
49,3 |
45,4 |
40,9 |
49 |
46,7 |
44,3 |
|
Err. estándar clase alta (85) |
3,1 |
3,3 |
3,5 |
3,5 |
3,5 |
3,6 |
|
Diferencia de clase (surv 85-surv 15) |
8,2+ |
-1 |
-10,6* |
10,4* |
2,2 |
-5,9 |
|
P> |Z| Test Z de diferencia de proporciones (85-15) |
0,08 |
0,83 |
0,02 |
0,05 |
0,66 |
0,23 |
|
Cambio en la diferencia de clase |
+18,8** |
16,3* |
||||
|
P> |Z| Test de Wald de diferencias entre las diferencias de proporciones (clase alta-clase baja en 1988 menos clase alta-clase baja en 1938) |
Wald.test: Z=2,862 |
Wald.test: Z=2,266 P>|Z|= 0,0234 |
||||
+ p<0,1; * p<0,05; ** p<0,01; *** p<0,001.
Fuente: Elaboración propia con datos del Estudio 3233 del CIS.
Tabla 4. Estimaciones de la curva de supervivencia a los 25 años según puntuación de ISEI/OEP de los progenitores y la propia y año de nacimiento. Modelos 4 y 4B
|
Indicador |
ISEI |
OEP |
||||||
|
Clase propia_clase de origen (puntuación) |
85_85 |
85_15 |
15_85 |
15_15 |
85_85 |
85_15 |
15_85 |
15_15 |
|
Supervivientes en t=25 en 1938 |
54,7 |
42,4 |
45,4 |
37,7 |
49,9 |
48,4 |
47,7 |
33,5 |
|
Err. estándar 1938 |
3,3 |
3,9 |
3,8 |
4,2 |
4 |
4 |
4,2 |
4,9 |
|
Supervivientes en t=25 en 1988 |
35,4 |
67,8 |
42,7 |
41 |
46,4 |
53,4 |
42,4 |
47,7 |
|
Err. estándar 1988 |
4,2 |
2,8 |
4 |
4 |
4,2 |
3,8 |
4,4 |
4,2 |
|
Efecto del tiempo (surv 1988-surv 1938) |
-19,3*** |
25,3*** |
-2,7 |
3,2 |
-3,6 |
5 |
-5,3 |
14,3*** |
|
P > |Z| |
0 |
0 |
0,62 |
0,58 |
0,54 |
0,37 |
0,38 |
0,03 |
+ p<0,1; * p<0,05; ** p<0,01; *** p<0,001.
Fuente: Elaboración propia con datos del Estudio 3233 del CIS.
Figura 7. Estimaciones marginales: proporción de no emancipados a los 25 años, según la curva de supervivencia estimada por los modelos 4 y 4B del anexo, clase social de la persona entrevistada y de sus padres y año de nacimiento, controlando por sexo, nacionalidad y región de residencia

Fuente: Elaboración propia con datos del Estudio CIS 3233.
Recepción: 30/12/2024
Revisión: 14/03/2025
Aprobación: 16/06/2025