doi:10.5477/cis/reis.194.63-84
Class Inequalities in Youth Emancipation in Spain: Changes across Generations and New Trends
Desigualdades de clase en la emancipación juvenil española:
cambios entre generaciones y nuevas tendencias
David Gil-Solsona and Manuel Mejías-Leiva
|
Key words Life Course Analysis
|
Abstract This paper analyses the changes taking place in class differences in the youth emancipation process in Spain over the past 50 years. It relies on data from study 3233 of the Spanish Center for Sociological Research (CIS), which compiles the experiences of transition to adulthood of different Spanish generations, and survival models. Results suggest that, while in the mid-20th century, lower-class youngsters left home significantly earlier than their upper-class counterparts, today, this difference does not exist. Furthermore, one of the two indexes used indicates that the current trend is the opposite: young people from upper-class origins tend to leave home earlier. Among the causes of this change are new emancipation models, or the increasing importance of access to housing in this life course process. |
|
Palabras clave Análisis del curso de vida
|
Resumen El presente artículo analiza cómo han cambiado las diferencias de clase en el proceso de emancipación juvenil en España durante los últimos cincuenta años. Se usan datos del Estudio CIS 3233, que recopila las experiencias de transición a la vida adulta de diferentes generaciones españolas y modelos de supervivencia. Los resultados muestran cómo, mientras a mediados del siglo xx, la juventud de clase baja se emancipaba sensiblemente antes que la de clase alta, esta diferencia ha desaparecido actualmente. Es más, uno de los dos indicadores utilizados señala que la tendencia actual es la contraria: la juventud de clase alta se va antes de casa. Entre las causas de este cambio se señalan los cambios en los modelos de emancipación o el peso cada vez mayor del acceso a la vivienda en este proceso vital. |
Citation
Gil-Solsona, David; Mejías-Leiva, Manuel (2026). “Class Inequalities in Youth Emancipation in Spain: Changes across Generations and New Trends”. Revista Española de Investigaciones Sociológicas, 194: 63-84. (doi: 10.5477/cis/reis.194.63-84)
David Gil-Solsona: Universitat Jaume I de Castelló | dgil@uji.es
Manuel Mejías-Leiva: Universidad de Valladolid | manuel.mejias@uva.es
Emancipation has long been a focus of the sociology of Spanish youth, be it academic (Zárraga, 1985; Garrido and Requena, 1996; Gil, 2002; Jurado, 2003; Moreno, 2012), institutional or associative (Spanish Youth Council, 2024; Simón and Clavería, 2020). This is because, since the 1980s and 1990s (Casal, 1996; Zárraga, 1985; Garrido and Requena, 1996), emancipation rates have remained consistently low, without recovering to mid-20th-century levels (Zárraga, 1985; Miret, 2005). Although the situation improved between 1996 and 2008, even during these years, youth precarity persisted (Gentile, 2006; Gil, 2002), as did mortgage over-indebtedness (López, 2008) and youth employment (Miguélez and Recio, 2010; Simó, Golsch and Steinhage, 2002). These were all issues that concerned academics, especially when comparing Spain to nearby countries (Baizan, 2003; Moreno, 2012).
The 2008 crisis hampered youth emancipation, which continues to worsen despite the economic recovery (Eurostat, 2023; Spanish Youth Council, 2024), mainly due to the increase in rent costs since 2014 (Spanish Youth Council, 2024; Ministry of Public Works, 2019; Moreno and Sánchez, 2020; Simón and Clavería, 2020). In this difficult scenario, the emphasis tends to focus on the 83 % of young people who have not left home (Spanish Youth Council, 2024) while forgetting about the remaining 17 %, who do manage to leave home. Most importantly, there is rarely an examination of the differences between these two groups of young people. Factors such as sex, origin or educational level help explain some of this diversity in emancipation (Aassve et al., 2002; Garrido and Requena, 1996). However, the factor that will be considered in this study is the socioeconomic position of the parents and the young people.
This is possibly the factor having the most complex influence: on the one hand, achieving a better socioeconomic position often implies a delayed emancipation, but it also facilitates the process once achieved (Aassve et al., 2002; Goldscheider and Da Vanzo, 1989; Iacovou, 2010). Social class of origin also has contradictory effects, which change according to the context. Families with more resources can use them to encourage the emancipation of their children or to “keep them” at home (Iacovou, 2010). In Spain, according to the literature, the dominant strategy used by the upper classes is to promote a later emancipation of the children, to ensure that they successfully achieve their social positioning (Garrido and Requena, 1996; Gil, 2002; Iacovou, 2010).
This work analyzes whether class differences in youth emancipation in Spain continue to function as they previously did, or whether the class gradient has changed and become similar to that of other countries. In a context in which access to housing, rather than educational and employment paths, appears to be a key factor in emancipation, and where the traditional model of household formation has become more flexible (Fuster, Palomares-Linares and Susino, 2023; Gil-Solsona, 2023; Moreno and Sánchez, 2020; Simó, Moreno and Gil-Solsona, 2023), it is worth considering whether a better family socioeconomic position may help facilitate this process. To examine this, data from Study 3233 of the CIS from December 2018 was used. This data retrospectively compares the trajectories of youth from distinct generations and examines how they changed depending on the socioeconomic positions of the parents and the youth.
Casal (1996) and Zárraga (1985) defined youth as a process of social transition in which people acquire residential and economic independence from their home of origin (emancipation), while consolidating a position in the socioeconomic, productive and reproductive structures (classification). These processes are shaped by one’s position in the social structure (class, ethnicity, or gender) (Casal, 1996; Furlong and Cartmel, 2007), the national and international contexts (Aassve et al., 2002) or the subject’s own agency (Casal et al., 2006).
At the end of the 20th century, youth transition processes went from being early and linear to prolonged and less predictable, with individualized trajectories (Beck and Beck-Gernsheim, 2002; Billari and Liefbroer, 2010; Machado, 2000). This change has been attributed both to late modernity and factors such as economic globalization (Mills and Blossfeld, 2005). However, these global processes are filtered by institutional factors, which create major differences between countries. In Europe, for example, emancipation takes place significantly later in the south than in the north due to economic, institutional, and cultural factors (Eurostat, 2023; Moreno, 2012). In Spain, these transitions are conditioned by a labor market that is incapable of offering stability, an inaccessible housing market, and a lack of good emancipation policies (Jurado, 2003; Moreno, 2012; Simó, Golsch, and Steinhage, 2002). This is compounded by a weak welfare state (Baizan, 2003; Flaquer, 2004; Gentile, 2006) and Spain’s “family-oriented” culture, which fosters strong support networks and family reciprocity (Flaquer, 2004; Gentile, 2006). However, this also encourages young people to remain at home as long as necessary until eventually moving into their own home with their partner (Gaviria, 2007; Velde, 2008). This “Spanish emancipation model” has resulted in an average age of emancipation in Spain of 30.5 years, one of the latest in all of Europe (Eurostat, 2023).
In addition to delaying emancipation, this led to a so-called “waiting model” (Flaquer, 2004; Gil, 2002): a prolonged accumulation of resources while living with parents, followed by a definitive residential separation, upon leaving home to live with a partner (Flaquer, 2004; Gaviria, 2007; Holdsworth, 2000; Jurado, 2003). This emancipation model contrasts with those of other countries, which tend to be more flexible and place greater emphasis on “intermediate states” (Jones, 2000), such as living alone or sharing an apartment (Holdsworth, 2000; Iacovou, 2010; Velde, 2008).
Recently, the Spanish model has displayed certain changes: more and more young people are renting instead of buying a home (Echaves, 2017; Fuster, Arundel and Susino, 2019; Fuster, Palomares-Linares and Susino, 2023) and the ways to become independent have diversified, beyond living as a couple (Gil-Solsona, 2024; Marí-Klose, Julià and Marí-Klose, 2013).
The evolution of the Spanish model of emancipation is key to understanding the role played by the “social class”, understood as the socioeconomic position and situation in the labor structures (Bernardi, 2007). The young people, immersed in a process of social positioning, initially lacked a position of their own in the social relations of production (Casal, 1996; Zárraga, 1985). However, they did have a social class of origin (Zárraga, 1985) which was that of their parents. Through the process of personal class incorporation, closely linked and related to emancipation, they ultimately acquired a class position of their own. Gil (2002) and Bernardi (2007) revealed out how, in this process, the agencies of parents and children are interrelated in a complex way. Young people, through their strategies, seek to emancipate themselves and build their own social position, while their parents promote the social reproduction of the family position. They seek an equal or superior status for their children (with respect to their own). These strategies can delay emancipation in order to secure a good position (Goldscheider and Da Vanzo, 1989) or, to the contrary, they may trigger early emancipation even at the risk of compromising that social positioning (Ayllón, 2015).
First, the personal class incorporation process itself influences emancipation. A longer educational trajectory usually delays emancipation by postponing economic independence (Aassve et al., 2002; Garrido and Requena, 1996; Goldscheider and Da Vanzo, 1989). However, once education has ended, the increased level of resources that it provides usually facilitates independence (Aassve et al., 2002; Iacovou, 2010). On the other hand, pursuing higher education in another city can encourage emancipation (Jurado, 2003). In other countries, public policies facilitate the students’ economic independence (Anxo, 2010), although the Spanish scholarship system does not produce this effect (Flaquer, 2004; Gentile, 2006). Furthermore, the geographical dispersion of Spanish universities discourages university students from living away from home (Moreno, 2018).
Meanwhile, the social class of their parents influences the path of young people to emancipation in a more complex way. Some studies have indicated that greater family resources promote emancipation (Aassve et al., 2002; Goldscheider and Da Vanzo, 1989; Iacovou, 2010). This is not only due to increased resource transfers, but also to the increased presence of young people from affluent backgrounds in non-standard emancipation pathways (shared flats, student residences, etc.) (Calvert, 2010; Iacovou, 2010). This results in an earlier emancipation than that achieved through cohabitation of couples, which may be fully or partially supported by parents who have more resources (Goldscheider and Da Vanzo, 1989; Velde, 2008). On the contrary, working class students may seek cheaper solutions (such as living with their parents and studying at local universities) and they are more likely to leave home earlier to live with their partner (Arundel and Ronald, 2016; Calvert, 2010; Furlong and Cartmel, 2007).
However, the main mechanism that explains class differences in emancipation may be the intergenerational transmission of income and wealth itself (Echaves, 2017; Lennartz, Arundel, and Ronald, 2016; Tucci, 2024). Parents having a higher income and wealth are more capable of supporting the emancipation of their children. This is a mechanism that has intensified since the crisis of 2008 (Tucci, 2024). In addition, there are other forms of capital that should be considered (Bourdieu, 1986). For example, parental social capital, in the form of contact networks (Laurison and Friedman, 2024) may help young people, especially professionals, not necessarily to find a job, but to find a better one, with more stability and a higher income, which will facilitate emancipation.
Other studies have found a negative effect of parental social class on youth emancipation, especially with respect to “non-transferable” resources, such as better conditions of household space and services, which help retain the higher class youth in their homes, while seemingly “pushing out” the poorer youth (Becker et al., 2010). Iacovou (2010) refers to different cultural preferences to explain this diversity. According to his analysis, in Northern Europe, parents use their resources to foster their children’s independence by positively valuing their emancipation, while in Southern Europe, family life (togetherness) is prioritized and is used to keep children in the home (Gaviria, 2007; Iacovou, 2010; Velde, 2008). More recently, Ferraretto and Vitali (2024) have found comparative evidence supporting this dynamic.
In Spain, studies such as those by Bernardi (2007) and Casal (1996) show that wealthy parents delay their children’s emancipation by encouraging them to invest in achieving a good social position. In other words, the will is not to keep the youth at home, but rather, to make sure that they leave under good conditions (Iacovou, 2010). One key aspect to consider is the close link between emancipation and the formation of a couple, which was still in effect until very recently in Spain (Gaviria, 2007; Gil, 2002; Jurado, 2003). Distinct studies have shown how wealthier parents in all countries discourage their offspring from moving in together too early, in order to focus on their social standing (Jong, Liefbroer, and Beekink, 1991; Iacovou, 2010). According to this logic, it makes sense that in Spain, youth from higher classes tend to leave home (that is, to move out with their partner) later.
However, given the growing diversity in the forms of emancipation in Spain (Echaves, 2017; Gil-Solsona, 2024; Marí-Klose, Julià and Marí-Klose, 2013), this traditional stratification mechanism should have lost its importance. If non-family forms of emancipation are common among the upper classes (Goldscheider and Da Vanzo, 1989), they are becoming increasingly common in Spain. This should produce a positive association between emancipation and social class. On the other hand, the increase in housing prices, firstly for owner-occupied properties (Pareja and San Martín, 2002) and subsequently for rentals (Ministry of Public Works, 2019), has made access to housing a determining factor in emancipation (Baizan, 2003; Gentile, 2006; Jurado, 2003). In this context, having sufficient personal and family resources to access housing (Boertien and López-Gay, 2023; Cabre and Módenes, 2004) has become a decisive element in emancipation, displacing traditional predictors such as forming a couple or completing studies. It may be altering the class gradient in Spanish emancipation.
In this context, it is worth asking whether working-class youth continue to leave home earlier than their upper-class peers, or whether, given the greater flexibility in the forms of emancipation and the increasing difficulty in accessing housing, parental resources –such as wealth, income and social capital– have become determinant. According to recent evidence and considering that Iacovou (2010), Bernardi (2007) and Garrido and Requena (1996) relied on data from the 1990s, this work suggests that the relationship between social class and emancipation has changed:
H1. In current generations, a better parental socioeconomic position is associated with earlier emancipation.
This positive effect would have been consolidated across different generations due to changes in the youth emancipation processes over recent decades:
H2. Among older generations, a better parental socioeconomic position delayed emancipation.
However, the effect of one’s own social class is expected to remain negative, since a more costly social positioning trajectory in terms of human capital should delay emancipation:
H3. A better individual socioeconomic position is related to later emancipation in all generations.
To test these hypotheses, the database of Study 3233 of the CIS, Biographies of Emancipation, Generations and Social Change in Spain, has been used (Simó, Moreno and Gil-Solsona, 2023). This survey was completed in late 2018 and includes responses from 2457 individuals over the age of eighteen, regarding distinct life events taking place during their youth. This database permits the comparison of youth transitions between different generations of Spaniards who have already completed that stage (excluding current youth).
The main dependent variable in this analysis is the age at which people permanently left their parental home. The main independent variable will be the socioeconomic status of the parents. To ensure greater robustness of the results, two widely recognized alternative numerical indicators of this concept are proposed: the International Socioeconomic Index of Occupational Status (ISEI) and the Occupational Earning Potential (OEP).
First, the ISEI (Ganzeboom and Treiman, 1996) is a scale indicator that accurately reflects variations in socioeconomic status. It is based on the average levels of education and income of occupations (Ganzeboom, 2010). To adapt this indicator to the database –since it originally used the ISCO-08 international standard classification of occupations– the three-digit CN011 has been used, based on the adaptations made by Bernardi and Ares (2017) for Spain.
The OEP (Oesch et al., 2024) is also a scale indicator, but it classifies occupations based only on their potential for medium-income earnings, unlike the ISEI, which combines education and income (Oesch et al., 2024).
Although both indicators are highly correlated and share a similar underlying hierarchy, their applications differ. The OEP better explains income variance, while the ISEI is more useful for analyzing intergenerational mobility by including education as an explanatory factor. In this analysis, an adaptation of the OEP has been made, in accordance with Oesch et al. (2024). It used a correspondence between CNO11 and ISCO-08 to three digits for Spain when assigning the average value of the different occupations of ISCO-08, in the case in which the same occupation of CNO11 was linked to two different occupations in said international classification. Both class indicators are internationally recognized measures that facilitate comparison between countries, studies and cohorts and, furthermore, they permit a more harmonious distinction by socioeconomic level, without the need to define and model qualitative occupational categories.
In order to obtain a single value for both ISEI and OEP for the entire family unit of origin, the higher value of those of both parents is taken, or the one that is available (if there is only one). In any case, the data refers to the time when the interviewee was fifteen years old. Figures 1 and 2 show the distribution of both variables for the final sample. It may be quickly verified that the OEP indicator (Oesch et al., 2024) has a wider distribution (exceeding 90 points) and is less left-leaning. A total of 25 % of the parents of the interviewed people exceed the intermediate value (50) of the OEP scale, whereas, in the case of the ISEI, the third quartile is below 40.
The socioeconomic level of the interviewee is operationalized using the ISEI and the OEP based on their current occupation (or the last known one). Unlike the position of origin, the respondent’s social class is measured as the position finally attained, rather than the one held prior to emancipation. This is not considered problematic from a methodological viewpoint, since one’s social class is not understood as a resource used a priori to drive the emancipation process, but rather as a parallel process of social positioning. Thus, a higher occupational level not only indicates that the person has ultimately obtained a greater level of resources, but also that they have undergone a more costly process of social positioning in terms of time and human capital accumulation.
In the statistical field, it should be noted that, for both indicators, the variables of parents and young people are correlated, although not sufficiently to produce collinearity problems in the models, as shown in Figure 3.
Results of the statistical analysis
This analysis is based on a series of discrete-time survival models (Blossfeld and Rohwer, 1995; Zwick and Sklar, 2005). This methodology consists of a logistic regression model, in which the dependent variable is whether or not a specific event (in this case, leaving home) has occurred, and in which the units of observation are not the subjects, but rather each year of age for each subject (person-periods). This allows for the verification of whether or not the phenomenon has occurred for each person and in each year of age. Before presenting the results of the models, however, the descriptive survival curves will be presented.
For the analysis, the database has been restricted to those subjects who were at least thirty years old at the time of the interview. This was done in order to avoid right-censoring. That is, it avoids including subjects who are too young in the analysis, whose subsequent emancipation trajectory is unknown. Those who have never lived with their parents (and therefore have not been able to leave) were also excluded, as were those who have any missing value in the analysis variables. This restricts the working base to 1706 individuals born between 1920 and 1988, although only 6 % were born before 1940. For the analysis, twelve years was considered as the initial age (t=0), so that any event occurring before that date was discarded.
Before presenting the results of the models, Figure 4 presents the descriptive survival curves –that is, the proportions of people still living with their parents at each age– from two sample subgroups: those whose parents have a low socioeconomic level (20 or less on the corresponding scale, ISEI or OEP) and those with a medium-high level (over 60). Since the main hypothesis of this study is that the effect of social class has changed, analyses are segmented by birth generation.
The figure shows how the effect of parental class on emancipation has indeed changed across generations: for those born before 1964 (and, in the case of the OEP, also those born before 1975), a higher social class of origin delayed emancipation as compared to those with a lower class level. For those born from 1975 onwards, however, the effect clearly reverses for both indicators (although more so for the ISEI). The OEP does not display such a marked difference, but the change in trend compared to previous generations is evident. These differences are especially visible between the ages of eighteen and twenty-five and decrease at older ages.
In order to verify whether the socioeconomic level of the parents is in fact generating these differences (and not other variables), it is necessary to verify these results using multivariable survival models. This will also provide a more stylized view of the effect of socioeconomic category.
For these models, the following factors were included, in addition to age and its square: the effect of the parents’ occupational level (measured by the ISEI or OEP), the interviewee’s sex and nationality, and their autonomous community of residence (grouped into NUTS1 regions). In a later phase of model development, the interviewee’s occupational category (measured by the ISEI or OEP, respectively) was incorporated to examine how the process of social positioning itself influences the age of emancipation and to separate the effect of the parents’ social class from that of the interviewee’s own social class.
After restricting the sample to cases having valid information on all of the variables, a final database of 20 350 person-periods was obtained. It was derived from 1706 individual cases observed over an average of 11.9 years. The data were weighted using a population weight variable, not included in the study, which was generated to adjust the sample to the sex, age, and place of birth composition of the Spanish population according to the census as of January 1, 2019.
The model coefficient tables are found in the appendix, and other tables with previous phases of the construction process are available upon request from the authors. However, it should be noted that the coefficients in these tables, corresponding to each one-unit change in each independent variable, do not clearly show the overall effects of the variables, as they are of small magnitude. Furthermore, the differences between the emancipation curves of young people from different social classes are initially insignificant (at age twelve) and increase as age progresses, as seen in Figure 4. To better understand the true magnitude of class differences, and their evolution, the analyses have been accompanied by predictions of the marginal values of the complete survival curves. In other words, they reveal the probability of continuing to live with one’s parents, as predicted by the models. These estimates are accompanied by standard errors, based on the method used by Zwick and Sklar (2005). Figure 5 shows the results of this estimation.
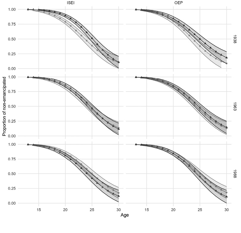
This figure shows the probabilities of continuing to live with one’s parents at each age for subjects coming from different social classes and generations, while controlling for the effects of sex, nationality, and region (NUTS1). As a complement, Table 1 shows the estimates and standard errors of the curves for the age of twenty-five, a point at which the differences tend to be very marked.
Figure 5 and Table 1 clearly show how the effect of parental social class on emancipation has changed across the generations. According to the ISEI, those born in 1938, with parents from high social classes had a greater probability of living at home with them (53 %) as compared to youth from lower social classes (41 %). For the 1988 generation, the probability was even lower between youth from high-class families (40.8 %) as compared to those of lower social classes (48.9 %). In fifty years, the difference in levels of emancipation at the age of 25 between social classes has gone from 11.9 % in favor of the lower classes to 8.1 % against them. In other words, a change of 20 percentage points has taken place. In this case, the differences between cohabitation rates of the upper and lower classes are statistically significant, as shown by the corresponding z-test p-values. Furthermore, a Wald difference-between-differences test was used to confirm that the difference between social classes has changed in a statistically significant manner over generations.
The figures are similar for models based on the OEP, although the margins of error are wider. This means that z-tests do not provide statistical significance among those born in 1988, but the Wald test does. Regardless, the fact that both indicators capture a change in the same direction (young people from working-class backgrounds used to leave the parental home earlier, but now they abandon it later than those from upper-class backgrounds) lends strength to the present results.
The effect of one’s own social class
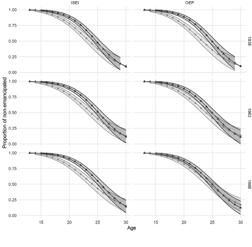
It was previously mentioned that the process of social positioning of young people often has a different effect on emancipation as compared to their social class of origin. In a second group of models, we will examine this effect and whether it changes across generations. Again, the models are shown in the appendix. In this section only the estimates of the survival curves derived from the marginal prediction of the models are presented.
As the estimates in Figure 6 and Table 2 show, the effect of the own social class positioning process on the emancipation process is much more stable across generations than that of the parents. For all birth cohorts, those who attained a higher socioeconomic position experienced later emancipation as compared to those having a lower position. However, it should be noted that if social class is measured using the OEP instead of the ISEI, the data appear to show a reduction in inequalities associated with the class-building process itself during emancipation. While in 1938 the difference was of 13.2 percentage points, in 1988 it had decreased to 3.4. The difference would have come mainly from young people in lower socioeconomic backgrounds, who would have assimilated their emancipation trajectories to those of young people having a higher socioeconomic status, without the latter changing their own patterns. However, in this case, the Wald test does not provide sufficient statistical evidence to conclude that the effect of social class itself has changed significantly.
Interaction of one’s own social class and the social class of origin
But we can now ask, how do one’s parents’ class position and one’s own interact? To answer this question, the third pair of models in the appendices presents two models that include both one’s own social class and that of one’s parents, and ultimately, an interaction between the two. Once again, only marginal predictions will be analyzed, and given the complexity of the models, the analysis will focus especially on comparing the probabilities of being emancipated by the age of twenty-five.
First, Table 3 provides the probabilities of being emancipated at age twenty-five according to models 3 and 3B in the appendix, which introduce both the social class of the parents and one’s own social class (although the latter only acts as a control variable, without interacting with either age or generation). The only change caused by this control is the lower probability of continuing to live with parents for the upper-class youth, with the most visible difference being four points less for those born in 1938 according to the ISEI model. Ultimately, the results are identical to those shown in Figure 5 and Table 1.
Finally, models 4 and 4B from the appendix incorporate the interaction of both class scores (self-score and class of origin) and of these scores with age. To simplify the analysis, we will consider how the emancipation curves have changed at age twenty-five for four possible combinations of values: upper-class youth from upper-class families (scores of 85 and 85 for own class and class of origin), upper-class youth from lower-class families (scores of 85 and 15), lower-class youth from upper-class families (scores of 15 and 85), and finally, lower-class youth from lower-class families (scores of 15 and 15). To facilitate the follow-up of the results, the terms “management” and “workers” have been used to refer to the high and low class positions, respectively.
Figure 7 and Table 4 show how the social class of origin and one’s own social class interact significantly with the emancipation process. They also reveal how the influence of both processes has been altered over generations. However, it is also possible to see how the effect of this interaction changes depending on the indicator used. First, the “management children of management parents” (scores of 85 and 85) have experienced a decrease of 19.3 % in their cohabitation rate (with their parents), according to the ISEI models. Models based on the OEP however, limit this reduction to an insignificant 3.6 %. Second, “management children of worker parents” have increased their probability of continuing to live at home at the age of twenty-five by 25.3 %, according to the ISEI model; the OEP model reduces this difference to 5 points. The “worker children of management parents” have not modified their estimations according to both models; however, “worker children of worker parents” have experienced a major increase in their rates of cohabitation at the age of twenty-five: 14.3 % according to the OEP model; or an insignificant 3.2 % according to the ISEI model.
In summary, these results highlight a delay in the emancipation trajectories of working-class youth over the past fifty years, as well as an earlier age of emancipation for upper-class youth. This is an effect that, according to the ISEI indicator, would have intensified for working-class youth experiencing upward social mobility. According to the OEP, however, the most intense effects would have affected those maintaining a working class position. These differences may be due to the different emphasis that ISEI places on the educational issue and, therefore, on the accumulation of human capital versus the effect of income.
This study examines how socioeconomic status, measured by the ISEI and OEP indices, influences the emancipation processes of young Spaniards and how this influence has changed over the last fifty years, between generations born in the second quarter of the 20th century and those born up to the end of the 1980s. Using data from Study 3233 of the CIS and applying survival curves and models, the main findings can be summarized in three key points.
The first and most important point is that the effect of social class of origin on the emancipation process has changed. For those born in the mid-20th century, it has been seen that being from an upper-class family typically meant later emancipation, with emancipation rates being more than 10 % lower for these people than those of the lower class. This supports the first hypothesis (H1) and is also in line with the findings of Iacovou (2010) and Garrido and Requena (1996), who noted that upper-class parents prevented their offspring from leaving home “too soon” and encouraged them to ensure their social positioning process. However, this class effect would change completely for the generations born at the end of the 20th century. For these so-called millennials, coming from an upper-class family meant being almost 8 % more likely to have moved out of home by the age of twenty-five, as compared to their lower-class peers. This, therefore, allows us to also confirm the second hypothesis (H2).
In our view, this shift in the class gradient of emancipation may be primarily attributed to two factors. First, there is the change in how people become independent, which is no longer limited to forming a couple. Independence currently includes new ways of leaving home, such as sharing apartments or seeking out semi-dependent living arrangements. These arrangements are more common among upper-class youth, and they result in an earlier departure from the family home. Secondly, there is the growing importance of access to housing as a determining factor in emancipation during the last three decades (Echaves, 2017; Jurado, 2003). This access is significantly easier for young people with more family financial support, whether in the form of real estate or other forms of property (Boertien and López-Gay, 2023). These youth can also benefit from stronger social capital networks (Laurison and Friedman, 2024).
This study also shows how, unlike social class of origin, one’s own social class has continued to play a similar role over the fifty years analyzed. Acquiring a better socioeconomic position tends to imply a lower probability of leaving home in one’s twenties, but subsequently, a faster emancipation. This allows us to confirm our third hypothesis (H3).
Finally, it has been shown that the effects of social class of origin and one’s own position interact, but this interaction changes depending on the socioeconomic level indicator considered. As a tentative interpretation, it may be suggested that the OEP indicator, which exclusively prioritizes potential income as a measure of class, is more sensitive to the delayed emancipation of working-class youth who do not achieve upward social mobility. It is precisely these individuals who will have a lower income level. On the other hand, the ISEI, which considers the differences in qualifications between different occupations in its measurement of social class, grants a worse position to working-class youth who have experienced upward social mobility and, therefore, have gone through a more costly process of human capital accumulation, without an advantageous family position.
Put into perspective, the findings of this study suggest that Spanish society is beginning to reproduce mechanisms of inequality that were already visible in other societies several decades ago, but which Bernardi (2007), Iacovou (2010) and Ferraretto and Vitali (2024) had not detected in Spain. In the latter case, this was because there was no differentiation by birth cohort. Regardless, the class inequality that permeates the processes of emancipation is clearly relevant to broadening the perspective from which the situation of Spanish youth is analyzed. Not all young people leave home late, and those who manage to complete a trajectory of emancipation at a relatively early age tend to be aided by their social position of origin.
While this study provides interesting findings, it has several limitations. The first is related to the different nuances offered by the two indicators used, which suggest conceptual differences in how social class is quantified, such as income potential or a combination of income and qualifications. Future studies should expand upon this aspect. It is also necessary to understand not only the differences in timing of youth emancipation processes, but also their trajectories. Is the form of residence (in a couple, alone, sharing an apartment) really key when distinguishing working-class emancipations from those of the middle-class? Should the dimension of economic independence be considered, and not just residential separation? What role does tenure play in the equation? These are all questions that can only be answered with new data, but they will undoubtedly help to gain a better understanding of the processes of emancipation among Spanish youth and the class inequalities affecting them.
Aassve, Arnstein; Billari, Francesco C.; Mazzuco, Stefano and Ongaro, Fausta (2002). “Leaving Home Ain’t Easy. A Comparative Longitudinal Analysis of ECHP Data”. Journal of European Social Policy, 12(4): 259–275. doi: 10.1177/a028430
Anxo, Dominique (2010). Towards an active and integrated life course policy: the Swedish experience. In: D. Anxo; G. Bosch and J. Rubery (eds.). The welfare state and life transitions: a European Perspective (pp. 104-127). Edward Elgar.
Arundel, Rowan and Ronald, Richard (2016). “Parental Co-residence, Shared Living and Emerging Adulthood in Europe: Semi-dependent Housing across Welfare Regime and Housing System Contexts”. Journal of Youth Studies, 19(7): 885-905. doi: 10.1080/13676261.2015.1112884
Ayllón, Sara (2015). “Youth Poverty, Employment, and Leaving the Parental Home in Europe”. Review of Income and Wealth, 61(4): 651-676. doi: 10.1111/roiw.12122
Baizan, Pau (2003). “La difícil integración de los jóvenes en la edad adulta”. Documento de trabajo del Laboratorio de Alternativas (Vol. 33). Available at: https://fundacionalternativas.org/wp-content/uploads/2022/07/xmlimport-1a4U5j.pdf, access October 10, 2025.
Beck, Ulrich and Beck-Gernsheim, Elisabeth (2002). Individualization: Institutionalized Individualism and its Social and Political Consequences. SAGE.
Becker, Sascha; Bentolila, Samuel; Fernandes, Ana and Ichino, Andrea (2010). “Youth Emancipation and Perceived Job Insecurity of Parents and Children”. Journal of Population Economics, 23(3): 1047-1071. doi: 10.1007/s00148-008-0224-5
Bernardi, Fabrizio (2007). “Movilidad social y dinámicas familiares. Una aplicación al estudio de la emancipación familiar en España”. Revista Internacional de Sociología, 65(48): 33-54. Available at: http://revintsociologia.revistas.csic.es/index.php/revintsociologia/article/viewArticle/67, access October 10, 2025.
Bernardi, Fabrizio and Ares Abade, Macarena (2017). “Education as the (not so) great equalizer: new evidence based on a parental fixed effect analysis for Spain”. EUI Working paper SPS, 6. Available at: https://hdl.handle.net/1814/48264, access October 10, 2025.
Billari, Francesco C. and Liefbroer, Aart C. (2010). “Towards a New Pattern of Transition to Adulthood?”. Advances in Life Course Research, 15: 59-75. doi: 10.1016/j.alcr.2010.10.003
Blossfeld, Hans-Peter and Rohwer, Götz (1995). Techniques of Event History Modeling. New Approaches to Causal Analysis. Lawrence Edbaum.
Boertien, Diederick and López-Gay, Antonio (2023). “The Polarization of Real Estate Ownership and Increasing Wealth Inequality in Spain”. European sociological review, 39(4): 615-629.
Bourdieu, Pierre (1986). The Forms of Capital. In: J. Richardson (ed.). Handbook of Theory and Research for the Sociology of Education (pp. 241–258). Greenwood.
Cabre, Anna and Módenes, Juan A. (2004). Home Ownership and Social Inequality in Spain. In: K. Kurz and H.-P. Blossfeld (eds.). Home Ownership and Social Inequality in Comparative Perspective (pp. 233-254). Stanford University Press.
Calvert, Emma (2010). Young people’s housing transitions in context (ESRC Centre for Population Change Working Paper no8). Available at: https://www.cpc.ac.uk/docs/2010_WP8_Young_Peoples_Housing_Transitions_in_Context_Calvert_et_al.pdf, access October 10, 2025.
Casal, Joaquim (1996). “Modos Emergentes de Transición a la Vida Adulta en el Umbral del Siglo XXI: Aproximación sucesiva, precariedad y desestructuración”. Revista Española de Investigaciones Sociológicas, 75: 295-316. Available at: https://ddd.uab.cat/pub/artpub/1990/117121/revespinvsoc_a1996n75p295.pdf, access October 10, 2025.
Casal, Joaquim; Garcia, Maribel; Merino, Rafael and Quesada, Miguel (2006). “Changes in Forms of Transition in Contexts of Informational Capitalism”. Papers: Revista de sociología, 79: 195-223.
Consejo de la Juventud de España (2024). Observatorio de Emancipación 2o semestre 2023. Available at: https://www.cje.org/ca/observatorio-de-emancipacion/#268-274-segundo-semestre-2023
De Jong Gierveld, Jenny; Liefbroer, Aart C. and Beekink, Erik (1991). “The Effect of Parental Resources on Patterns of Leaving Home among Young Adults in the Netherlands”. European Sociological Review, 7(1): 55-71. doi: 10.1093/oxfordjournals.esr.a036577
Echaves García, Antonio (2017). “Emancipación residencial y sistema de provisión de vivienda: la heterogeneidad autonómica del modelo español”. Revista Española de Investigaciones Sociológicas, 159: 51-72. doi: 10.5477/cis/reis.159.51
Eurostat (2023). When do young Europeans leave their parental home? Available at: https://ec.europa.eu/eurostat/web/products-eurostat-news/w/ddn-20230904-1, access October 10, 2025.
Flaquer, Lluís (2004). “La articulación entre familia y el Estado de bienestar en los países de la Europa del sur”. Papers, 73: 27-58.
Furlong, Andy and Cartmel, Fred (2007). Young people and social change. New perspectives. Mc Graw-Hill Open University Press.
Fuster, Nayla; Arundel, Rowan and Susino, Joaquin (2019). “From a Culture of Homeownership to Generation Rent: Housing Discourses of Young Adults in Spain”. Journal of Youth Studies, 22(5): 585-603. doi: 10.1080/13676261.2018.1523540
Fuster, Nayla; Palomares-Linares, Isabel and Susino, Joaquín (2023). “Changes in Young People’s Discourses about Leaving Home in Spain after the Economic Crisis”. Advances in Life Course Research, 55. doi: 10.1016/j.alcr.2023.100526
Garrido, Luis and Requena, Miguel (1996). La emancipación de los jóvenes en España. Madrid: Instituto de la Juventud.
Gaviria, Sandra (2007). Juventud y familia en Francia y en España. Madrid: CIS; Siglo XXI.
Gentile, Alessandro (2006). “Una precaria transición a la edad adulta: inestabilidad laboral y límites del régimen familista de Estado del Bienestar. El caso de España”. Documentos de Trabajo, Instituto de Políticas y Bienes Públicos (CSIC) (N.o 02-2006). Available at: http://hdl.handle.net/10261/1661, access October 10, 2025.
Gil Calvo, Enrique (2002). “Emancipación tardía y estrategia familiar”. Revista de Estudios de Juventud, 58: 1-9. Available at: https://www.injuve.es/sites/default/files/articulo1.pdf, access October 10, 2025.
Gil-Solsona, David (2023). “‘Not Really Leaving Home’ in Southern Europe: Intermediate Living situations in Catalan Youth Housing Trajectories”. Journal of Youth Studies, 26(8): 1084-1107. doi: 10.1080/13676261.2022.2065912
Gil-Solsona, David (2024). “La segunda transición demográfica y la emancipación juvenil en España”. Quaderns de Polítiques Familiars, 9: 74-95.
Goldscheider, Frances and Da Vanzo, Julie (1989). “Pathways to Independent Living in Early Adulthood : Marriage , Semiautonomy , and Premarital Residential Independence”. Demography, 26(4): 597-614.
Holdsworth, Clare (2000). “Leaving Home in Britain and Spain”. European Sociological Review, 16(2): 201-222. doi: 10.1093/esr/16.2.201
Iacovou, Maria (2010). “Leaving Home: Independence, Togetherness and Income”. Advances in Life Course Research, 15(4): 147-160. doi: 10.1016/j.alcr.2010.10.004
Jones, Gill (2000). “Experimenting with Households and Inventing ‘Home’”. International Social Science Journal, 52(164): 183-194. doi: 10.1111/1468-2451.00250
Jurado Guerrero, Teresa (2003). “La vivienda como determinante de la formación familiar en España desde una perspectiva comparada”. Revista española de investigaciones sociológicas, 103: 113-157. Available at: https://dialnet.unirioja.es/descarga/articulo/767078.pdf, access October 10, 2025.
Laurison, Daniel and Friedman, Sam (2024). “The Class Ceiling in the United States: Class-Origin Pay Penalties in Higher Professional and Managerial Occupations”. Social Forces, 103(1): 22-44. doi: 10.1093/sf/soae025
Lennartz, Christian; Arundel, Rowan and Ronald, Richard (2016). “Younger Adults and Homeownership in Europe Through the Global Financial Crisis”. Population, Space and Place, 22: 823-835.
López Blasco, Andreu (2008). Jóvenes en una sociedad cambiante: demografía y transiciones a la vida adulta. In: Informe Juventud en España 2008 (pp. 13-229). Madrid: Instituto de la Juventud.
Machado Pais, Jose (2000). “Transitions and Youth Cultures: Forms and Performances”. International Social Science Journal, 52(164): 219-232. doi: 10.1111/1468-2451.00253
Marí-Klose, Pau; Julià, Albert and Marí-Klose, Marga (2013). Emancipació Domiciliària i Família. Joves i Família en els processos de transició a la vida adulta: teixint nous lligams. In: P. Serracant (ed.). Enquesta a la Joventut de Catalunya 2012 (pp. 225-329). Available at: www.gencat.cat/joventut/observatori, access October 10, 2025.
Miguélez, Fausto and Recio, Albert (2010). The uncertain path from the Mediterranean welfare model in Spain. In: D. Anxo; G. Bosch and J. Rubery (eds.). The welfare state and life transitions: a European Perspective (pp. 284-308). Edward Elgar.
Mills, Melinda and Blossfeld, Hans-Peter (2005). Globalization, uncertainty and the early life course. A theoretical framework. In: H.-P. Blossfeld; E. Klijzing; M. Mills and K. Kurz (eds.). Globalization, uncertainty and youth in society: The losers in a globalizing world (pp. 1-23). London: Routledge.
Ministerio de Fomento (2019). Boletín Especial Alquiler residencial 2019. Ministerio de Vivienda y Agenda Urbana: Observatorio de vivienda y suelo.
Miret Gamundi, Pau (2005). “Irse de casa: análisis longitudinal de la emancipación residencial en España durante el siglo XX”. Revista de Demografía Histórica, XIII(II): 111-137.
Moreno Mínguez, Almudena (2012). “The Transition to Adulthood in Spain in a Comparative perspective: The incidence of structural Factors”. Young, 20(1): 19-48. doi: 10.1177/110330881102000102
Moreno Mínguez, Almudena (2018). “The Youth Emancipation in Spain: A Socio-demographic Analysis”. International Journal of Adolescence and Youth, 23(4): 496-510. doi: 10.1080/02673843.2018.1438299
Moreno Mínguez, Almudena and Sánchez Galán, F. Javier (2020). “The Diversity of Youth Transitions in Spain from a Socio-demographic Perspective”. Revista Española de Sociología, 29(3): 47-68. doi: 10.22325/FES/RES.2020.74
Oesch, Daniel; Lipps, Oliver; Shahbazian, Roujman; Bihagen, Erik and Morris, Katy (2024). Occupational earning potential: A new measure of social hierarchy applied to Europe. doi: 10.31235/osf.io/w9akc
Pareja Eastaway, Montserrat and San Martín Varo, Ignacio (2002). “The Tenure Imbalance in Spain: The Need for Social Housing Policy”. Urban Studies, 39(2): 283-295. doi: 10.1080/00420980120102975
Simó Noguera, Carles Xavier; Golsch, Katrin and Steinhage, Nikolei (2002). “Increasing Uncertainty in the Spanish Labor Market and entry into Parenthood”. Genus, LVIII(1): 77-119. doi: 10.2307/29788714
Simó Noguera, Carles Xavier; Moreno, Almudena and Gil Solsona, David (2023). La entrada en la vida adulta de hombres y mujeres a través de las generaciones en España (1920-2000). Madrid: Centro de Investigaciones Sociológicas.
Simón, Pablo and Clavería, Silvia (2020). La emancipación juvenil y familia: una perspectiva general. In: P. Simón (ed.). Informe juventud en España 2020 (pp. 109-155). Madrid: Instituto de la Juventud. Available at: https://www.injuve.es/sites/default/files/adjuntos/2021/03/informe_juventud_espana_2020.pdf, access October 10, 2025.
Tucci, Violetta (2024). “Housing Independence Pathways in Europe: The Influence of Parents’ Socio-economic Background in Times of Economic Stress Housing Independence Pathways in Europe : The Influence of Stress”. Journal of Youth Studies, 1-21. doi: 10.1080/13676261.2024.2378307
Velde, Cécile van de (2008). Devenir adulte: sociologie comparée de la jeunesse en Europe. Presses Universitaires de France. doi: 10.2304/eerj.2010.9.3.431
Zárraga, Jose Luis de (1985). Informe Juventud en España. La inserción de los jóvenes en la sociedad. Madrid: Instituto de la Juventud.
Zwick, Rebecca and Sklar, Jeffrey C. (2005). “A Note on Standard Errors for Survival Curves in Discrete-Time Survival Analysis”. Journal of Educational and Behavioral Statistics, 30(1): 75-92. doi: 10.3102/10769986030001075
Figure 1. Distribution of the ISEI variable of the family of origin. Final sample of the analysis. Over 30 years old, Spain, 2018

Source: Study 3233 of the CIS.
Figure 2. Distribution of the OEP variable of the family of origin. Final sample of the analysis. Over 30 years old, Spain, 2018

Source: Study 3233 of the CIS.
Figure 3. Relationship between the occupational level of the interviewees and that of their parents, measured using the ISEI and the OEP. Final sample of the analysis. Over 30 years old, Spain, 2018

Source: Author’s own creation with data from the 3233 Study of the CIS.
Figure 4. Survival curves for the “leaving parents’ home permanently” event, according to parents’ ISEI bracket and birth generation. Comparison of the lowest bracket (ISEI<=20) with the highest (ISEI>60)

Source: Study 3233 of the CIS.
ISEI
Parents section (ISE/OEP)
(0,20]
(60,100]
OEP
1920-1952
1953-1964
1965-1974
1975-1988
Figure 5. Survival curves from models 1 and 1B of the annex, according to parents’ social class (ISEI/OEP) and year of birth, controlling for sex, nationality and region of residence

Source: Author’s own creation with data from Study 3233 of the CIS.
Socioeconomic level of parents (ISE/OEP)
15
85
Table 1. Estimates of the 25-year survival curve according to parental ISEI/OEP score and year of birth. Models 1 and 1B
|
Indicador |
ISEI |
OEP |
||||
|
Year of birth |
1938 |
1963 |
1988 |
1938 |
1963 |
1988 |
|
Survivors at t=25 lower class (15) |
41 |
45 |
48.9 |
37.9 |
43.9 |
49.8 |
|
Standard error lower class (15) |
2.7 |
2.6 |
2.5 |
3.9 |
3.7 |
3.4 |
|
Survivors at t =25 upper class (85) |
53 |
47.3 |
40.8 |
49.9 |
47.5 |
44.9 |
|
Standard error upper class (85) |
2.3 |
2.5 |
2.7 |
3.4 |
3.5 |
3.6 |
|
Class difference (85 surv- 15 surv) |
11.9*** |
2.3 |
-8.1* |
12* |
3.5 |
-4.9 |
|
P> |Z| Test Z of difference in proportions (85-15) |
0 |
0.52 |
0.03 |
0.02 |
0.49 |
0.32 |
|
Change in class difference |
+20*** |
16.9* |
||||
|
P> |Z| Wald test of differences between differences in proportions (upper class-lower class in 1988 minus upper class-lower class in 1938)) |
Wald.test: Z= 3.9 p>|Z|=0 |
Wald.test: Z= 2.35 p>|Z|=0.019 |
||||
+ p<0.1; * p<0.05; ** p<0.01; *** p<0.001.
Source: Author’s own creation with data from Study 3233 of the CIS.
Figure 6. Survival curves from models 2 and 2B of the annex, according to the social class of the interviewee (ISEI/OEP) and year of birth, controlling for sex, nationality and region of residence

Source: Author’s own creation with data from Study 3233 of the CIS.
Socioeconomic level of the interviewee (ISE/OEP)
15
85
Table 2. Estimates of the 25-year survival curve according to parental ISEI/OEP score and year of birth. Models 2 and 2B
|
Indicador |
ISEI |
OEP |
||||
|
Year of birth |
1938 |
1963 |
1988 |
1938 |
1963 |
1988 |
|
Survivors at t=25 lower class (15) |
37.8 |
40.4 |
43 |
36 |
41.3 |
46.5 |
|
Standard error lower class (15) |
3.8 |
3.7 |
3.6 |
4.1 |
3.9 |
3.6 |
|
Survivors at t=25 high class (85) |
47.5 |
51.4 |
55.1 |
49.2 |
49.6 |
49.9 |
|
Standard error high class (85) |
3.4 |
3.2 |
3.1 |
3.4 |
3.4 |
3.4 |
|
Class difference (85 surv -15 surv) |
9.7+ |
11* |
12.1* |
13.2** |
8.3 |
3.4* |
|
P> |Z| Test Z of difference in proportions (85-15) |
0.06 |
0.03 |
0.01 |
0.01 |
0.11 |
0.5 |
|
Change in class difference |
-2.4 |
9.8 |
||||
|
P> |Z| Wald test of differences between differences in proportions (upper class-lower class in 1988 minus upper class-lower class in 1938) |
Wald.test: Z=-0.35 P>|Z|=0.728 |
Wald.test: Z=1.34 |
||||
+ p<0.1; * p<0.05; ** p<0.01; *** p<0.001.
Source: Author’s own creation with data from Study 3233 of the CIS.
Table 3. Estimates of the survival curve at 25 years of age, according to parents’ ISEI/OEP score and year of birth, controlling for the interviewee’s ISEI/OEP score. Models 3 and 3B
|
Indicator |
ISEI |
OEP |
||||
|
Year of birth |
1938 |
1963 |
1988 |
1938 |
1963 |
1988 |
|
Survivors in t=25 lower class (15) |
41.1 |
46.4 |
51.5 |
38.6 |
44.5 |
50.3 |
|
Standard error lower class (15) |
3.5 |
3.3 |
3.1 |
3.9 |
3.6 |
3.4 |
|
Survivors in t=25 upper class (85) |
49.3 |
45.4 |
40.9 |
49 |
46.7 |
44.3 |
|
Standard error upper class (85) |
3.1 |
3.3 |
3.5 |
3.5 |
3.5 |
3.6 |
|
Class difference (85 surv-15 surv) |
8.2+ |
-1 |
-10.6* |
10.4* |
2.2 |
-5.9 |
|
P> |Z| Z test of difference in proportions (85-15) |
0.08 |
0.83 |
0.02 |
0.05 |
0.66 |
0.23 |
|
Change in class difference |
+18.8** |
16.3* |
||||
|
P> |Z| Wald test of differences between differences in proportions (upper class-lower class in 1988 minus upper class-lower class in 1938) |
Wald.test: Z=2.862 |
Wald.test: Z=2.266 P>|Z|= 0.0234 |
||||
+ p<0.1; * p<0.05; ** p<0.01; *** p<0.001.
Source: Author’s own creation with data from Study 3233 of the CIS.
Table 4. Estimates of the 25-year survival curve based on parental and individual ISEI/OEP scores and year of birth. Models 4 and 4B
|
Indicator |
ISEI |
OEP |
||||||
|
Own class_class |
85_85 |
85_15 |
15_85 |
15_15 |
85_85 |
85_15 |
15_85 |
15_15 |
|
Survivors in t=25 in 1938 |
54.7 |
42.4 |
45.4 |
37.7 |
49.9 |
48.4 |
47.7 |
33.5 |
|
Standard error 1938 |
3.3 |
3.9 |
3.8 |
4.2 |
4 |
4 |
4.2 |
4.9 |
|
Survivors in t=25 in 1988 |
35.4 |
67.8 |
42.7 |
41 |
46.4 |
53.4 |
42.4 |
47.7 |
|
Standard error 1988 |
4.2 |
2.8 |
4 |
4 |
4.2 |
3.8 |
4.4 |
4.2 |
|
Time effect (1988 surv- 1938 surv) |
-19.3*** |
25.3*** |
-2.7 |
3.2 |
-3.6 |
5 |
-5.3 |
14.3*** |
|
P > |Z| |
0 |
0 |
0.62 |
0.58 |
0.54 |
0.37 |
0.38 |
0.03 |
+ p<0.1; * p<0.05; ** p<0.01; *** p<0.001.
Source: Author’s own creation with data from Study 3233 of the CIS.
Figure 7. Marginal estimates: proportion of non-emancipated individuals at age 25, according to the survival curve estimated by models 4 and 4B in the annex, social class of the interviewee and of their parents and year of birth, controlling for sex, nationality and region of residence

Source: Author’s own creation with data from Study 3233 of the CIS.
RECEPTION: December 30, 2024
REVIEW: March 14, 2025
ACCEPTANCE: June 16, 2025
|
|
Models that use the ISEI as a measure of social class |
Models that use the OEP as a measure of social class |
||||||
|
|
Model 1 |
Model 2 |
Model 3 |
Model 4 |
Model 1B |
Model 2B |
Model 3B |
Model 4B |
|
Constant |
27.858 |
-7.911 |
-5.027*** |
-5.244*** |
2.792 |
16.335 |
-5.652*** |
-4.939*** |
|
t (Age) |
-1.028 |
1.242 |
0.453*** |
0.454*** |
1.394 |
-0.275 |
0.513*** |
0.473*** |
|
t2 |
-0.013*** |
-0.013*** |
-0.013*** |
-0.013*** |
-0.013*** |
-0.013*** |
-0.013*** |
-0.013*** |
|
Parents’ class |
-0.948 |
-0.026+ |
-0.013 |
0.009 |
-0.002 |
0.005 |
||
|
t * parents’ class |
-0.017+ |
0.002 |
0.001 |
-0.004 |
0 |
-0.002 |
||
|
Year of birth |
0 |
-0.017+ |
0.002 |
0 |
-0.004 |
-0.01 |
||
|
Parents’ class * Year of birth |
0.059 |
0 |
0 |
-0.029 |
0 |
0 |
||
|
t * Year of birth |
0.001 |
0.001 |
0 |
0 |
0 |
0 |
||
|
t * parents’ class * Year of birth |
0 |
0 |
0 |
0 |
0 |
0 |
||
|
Subject’s class |
|
0.129 |
-0.003* |
-0.004 |
-0.387 |
-0.002 |
-0.032* |
|
|
t * subject’s class |
|
0.001 |
0.001 |
-0.011 |
0.002* |
|||
|
Subject’s class * Year of birth |
|
0 |
0 |
0 |
0 |
|||
|
t * subject’s class * Year of birth |
|
-0.009 |
0 |
0.022 |
0 |
|||
|
Parents’ class * subject’s class |
|
0 |
0 |
0 |
0 |
|||
|
Parents’ class * subject’s class * Year of birth |
|
0 |
0 |
0 |
0 |
|||
|
sex [Female] |
0.324*** |
0.315*** |
0.325*** |
0.313*** |
0.325*** |
0.304*** |
0.314*** |
0.307*** |
|
Place of birth |
0.459*** |
0.438*** |
0.424*** |
0.405*** |
0.46*** |
0.45*** |
0.443*** |
0.436*** |
|
ES7 [Canary Islands] |
0.367* |
0.33* |
0.331* |
0.33* |
0.374* |
0.335* |
0.353* |
0.349* |
|
ES1 [Northwest] |
0.266* |
0.253* |
0.245* |
0.228+ |
0.274* |
0.271* |
0.264* |
0.275* |
|
ES4 [Center] |
0.005 |
-0.005 |
-0.016 |
-0.024 |
0.008 |
-0.004 |
0.002 |
-0.009 |
|
ES2 [Northeast] |
0.012 |
0.007 |
0.011 |
-0.006 |
0.025 |
0.009 |
0.027 |
0.014 |
|
ES5 [East] |
0.102 |
0.089 |
0.084 |
0.082 |
0.107 |
0.091 |
0.098 |
0.097 |
|
ES6 [South] |
0.135 |
0.117 |
0.1 |
0.108 |
0.135 |
0.122 |
0.118 |
0.122 |
|
Observations |
20350 |
20350 |
20350 |
20350 |
20350 |
20350 |
20350 |
20350 |
|
R2 Tjur |
0.097 |
0.098 |
0.097 |
0.098 |
0.096 |
0.097 |
0.096 |
0.097 |
|
AIC |
10 366 896 |
10 342 491 |
10364.82 |
10 345 808 |
10 368 824 |
10 349 409 |
10 369 669 |
10 356 335 |
+ p<0.1; * p<0.05; ** p<0.01; *** p<0.001.
Source: Author’s own creation based on data from Study 3233 of the CIS.